Описание смесей поверхностно-активных веществ (ПАВ) с родственными полярными группами без учета суммарного взаимодействия
Рассмотрим свойства простейших смешанных мицелл, образующихся при отсутствии взаимодействий между молекулами ПАВ, находящимися в смеси. Этому случаю отвечает смесь двух ПАВ с одной и той же полярной группой, но углеводородными цепями различной длины. Полярные группы молекул различных ПАВ взаимодействуют между собой в мицелле, но поскольку эти группы одинаковые у разных ПАВ, взаимодействие не зависит от вида молекул и, следовательно, суммарное взаимодействие равно нулю.
В соответствии с гидрофильно-липофильным балансом смеси ПАВ, который рассчитывается как средневзвешенная величина ГЛБ индивидуальных ПАВ, разумно предположить, что KKM смеси поверхностно-активных веществ есть усредненная величина KKM индивидуальных ПАВ, т.е.
где KKM – критическая концентрация мицеллообразования смеси ПАВ, а ККМ/ – критические концентрации мицеллообразования каждого ПАВ, входящего в состав смеси, х2-мольные доли соответствующих ПАВ в смеси. Однако использование уравнения может приводить к ошибочным результатам, если представлять как долю ПАВ в системе в целом:
где Ci и Сг – молярные концентрации каждого ПАВ в смеси. С учетом представлений о мицеллообразовании уравнению можно придать физический смысл, если Xi будет выражать мольную долю РБВй именно в мицелле, а не в системе в целом, т.е.
. Тогда KKM смеси ПАВ можно записать следующим образом:
где
– мольная доля РБВй в мицеллах. Уравнение нельзя использовать для предсказания KKM смесей ПАВ, поскольку состав мицелл, т.е. величина Xim a priori неизвестна. Можно показать, что если х\ характеризует состав раствора, выражение для KKM смеси можно записать следующим образом:
Это уравнение можно распространить на смеси трех и более ПАВ:
ит. д.
Молярный состав смешанной мицеллы определяется следующим выражением:
На рис. представлены рассчитанные значения KKM и мицеллярный состав как функции от состава раствора в соответствии с уравнениями для трех значений соотношения ККМ2/ККМ1 = 1, 0.1 и 0.01. Как видно из рисунка, и ККМ, и мицеллярный состав сильно зависят от состава растворов, если значения KKM компонентов сильно различаются, т.е. их соотношение далеко от 1. Следовательно, даже небольшая добавка сильно гидрофобного ПАВ может принципиально изменить свойства системы. Это обстоятельство используют при приготовлении микроэмульсий, например, вводя в систему длинноце-почечные спирты.
Представим себе, что компонент 2 обладает большой поверхностной активностью и присутствует в смеси в небольшом количестве fa порядка 0.01). Из уравнения величина
, т.е. при KKM мицеллы, образующиеся в системе, приблизительно на 50% состоят из компонента 2. Поэтому неудивительно, что примеси, будучи высоко поверхностно-активными, часто играют важную роль в химии поверхности. Примером такой примеси является додециловый спирт в додецилсульфате натрия, который образуется в результате гидролиза последнего.
Еще один пример приведен на рис. где показана зависимость KKM от молярного состава смеси ДСН и NP-Eiо: нижняя кривая – зависимость от молярного состава раствора, а верхняя – от молярного состава смешанных мицелл. Из рисунка видно, что в последнем случае KKM смеси приблизительно равна среднеарифметическому KKM обоих ПАВ, как это предсказывается уравнением. Если же ось абсцисс представляет молярный состав раствора, то KKM смеси резко снижается при малых мольных долях NP-Ei о. Это связано с преимущественной локализацией NP-Ei о в мицелле, что подтверждается зависимостью мольной доли НПАВ в мицелле от мольной доли этого НПАВ в растворе. Отсюда понятно, что неионогенное ПАВ преимущественно переходит в мицеллу из-за его более высокой гидрофобности, о чем свидетельствует более низкое значение KKM NP-Ei о по сравнению с KKM ДСН. Пунктирная линия на рис. соответствует расчету по уравнению. Теоретическое предсказание, как мы видим, не очень хорошо совпадает с экспериментальными результатами. Это можно объяснить слабым, но не нулевым взаимодействием между поверхностно-активными веществами.
Рассчитанные значения KKM и молекулярных составов мицелл как функции состава раствора для трех систем с разными соотношениями KKM индивидуальных ПАВ: ККМ2/ККМ1 = 1, 0.1 и 0.01
Зависимости критической концентрации мицеллообразования от состава композиции ПАВ и от состава мицелл состава, подтверждающие выполнимость уравнения. Система додецилсульфат натрия и NP-Ei.
Зависимость мицеллярного состава от состава смешанного раствора системы додецилсульфат натрия + NP-Ei о. Штриховая линия соответствует одинаковому составу мицелл и раствора, пунктирная линия – результат расчета без учета взаимодействий по уравнению, сплошная линия – расчет по уравнению
На рисунках а, б показаны зависимости состава смешанных мицелл от состава раствора для калиевых мыл с 8,10 и 14 атомами углерода в гидрофобной цепи. Эти данные аналогичны представленным; они подчеркивают доминирующую роль в смеси более гидрофобного ПАВ.
Смеси ПАВ – учет взаимодействий
Во многих системах смешиваются ПАВ разных типов, например анионные ПАВ с неионными ПАВ. В этом случае НПАВ экранируют полярные группы анионных ПАВ в мицелле, и, следовательно, система контролируется взаимодействиями между молекулами этой пары ПАВ. Другой пример – смеси анионных и катионных ПАВ, для которых характерно очень сильное взаимодействие между молекулами. Для таких случаев необходим более сложный анализ, позволяющий учитывать природу молекул. Уравнение запишем в следующем виде:
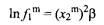
где
– коэффициенты активности ПАВ в мицелле. Выражение для коэффициента активности можно найти на основе теории регулярных растворов:
и
где в-параметр взаимодействия, количественно описывающий взаимодействие между молекулами ПАВ в мицелле. Положительное значение в означает, что между ПАВ действуют силы отталкивания, в то время как отрицательное значение в, наоборот, соответствует притяжению. Если в равен нулю, коэффициент активности равен единице, и уравнение переходит в уравнение. Для большинства систем в имеет отрицательное значение, что свидетельствует о преимущественном притяжении между молекулами ПАВ в смеси. Но системы с положительным значением также существуют, например смесь ПАВ с нормальными углеводородными цепями и ПАВ с фторированными углеводородными цепями.
