Определение массовой доли вещества
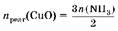
Задача 1. Раствор нитрата калия объемом 60 мл и концентрацией 2 моль/л прокипятили в сильнощелочной среде с 6,48 г алюминия. Выделившийся газ пропустили при нагревании через трубку с оксидом меди(П) массой 11,2 г. Рассчитайте массовую долю меди в полученном твердом остатке.
Решение
1. Напишем уравнения реакций:
2. Рассчитаем количество вещества KNO3, Al и по веществу, которое прореагировало полностью, определим количество вещества
NH3:
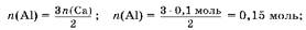
ra(KNO3)ζ 0,06 л 2моль/лζ 0,12 моль;
ж 0,24 моль — прореагирует полностью;
0,09 моль.
3. Так как по условию задачи необходимо рассчитать массовую долю меди в твердом остатке, следовательно, оксид меди(П) в избытке:
ra(CuO) ж 0,005 моль; (CuO) 0,005 моль 80 г/моль ж 0,4 г.
4. Рассчитаем количество вещества и массу образовавшейся меди:
Ti(Cu) ж Ti^^CuO) ж 0,135 моль; to(Cu) ж 0,135 моль 64 г/моль ж 8,64 г.
5. Hайдем массу смеси и массовую долю меди в ней: т(см.) = m(CuO) K m(Cu); т(см.) = 0,4г K 8,64г = 9,04 г;
Ответ:
= 95,58%.
Задача 2. Cмесь кальция и алюминия (молярное отношение металлов в смеси 2: 3) прокалили с избытком углерода без доступа воздуха. Полученную смесь продуктов обработали водой. Выделившиеся газы пропустили через склянку с бромной водой. Масса склянки увеличилась на 2,6 г. Определите массу исходной смеси.
Решение
1. При прокаливании с углеродом без доступа воздуха (отсутствие кислорода) образуются только карбиды металлов, при обработке которых водой получаются метан и ацетилен. При пропускании этих газов через бромную воду с бромом реагирует только ацетилен, поэтому масса склянки увеличилась на массу ацетилена. Запишем уравнения реакций:
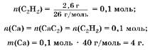
2. Hайдем массу кальция:
3. Hайдем массу алюминия.
По условию A (Ca): A (Al) = 2: 3, следовательно,
m(Al) = 0,15 моль ■ 27 г/моль = 4,05 г.
4. Вычислим массу смеси:
то(см.) ж 4 г K 4,05 г ж 8,05 г. Ответ: то(см.) ж 8,05г.
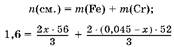
Задача 3. Смесь хрома и железа массой 1,6 г полностью прореагировала с газом, выделившемся при электролизе 30,4 г 20%-го раствора хлорида меди (II). Определите массовые доли металлов в смеси.
Решение
1. С хлором взаимодействуют и хром, и железо с образованием хлоридов трехвалентных металлов:
2. Определим количество вещества хлора, полученного при электролизе:
3. Выразим массы металлов через,.
Пусть ra2(Cl2)ζ, моль, тогда ra3(Cl2)ζ (0,045 —,)моль;
4. Составим уравнение:
Решая уравнение, получаем, что, ж0,015.
5. Найдем массовые доли металлов в смеси:
Ответ:
ж 65%;
ж 35%.
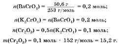
Задача 4. Продукты реакции, образовавшиеся при сплавлении смеси, содержащей оксид хрома(Ш), гидроксид калия и хлорат калия в стехиометрических количествах, растворили в воде и добавили избыток раствора хлорида бария. При этом образовался осадок массой 50,6 г. Найдите массу оксида хрома(Ш) в смеси.
Решение
1. При сплавлении Cr2O3 с щелочными расплавами окислителей происходит окисление хрома(Ш) и образуются хроматы:
2. Найдем количество вещества и массу Cr2O3 в смеси:
Ответ:
ж 15,2 г.
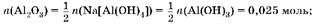
Задача 5. Смесь оксидов алюминия и хрома(Ш) обработали избытком концентрированного раствора щелочи. Раствор отфильтровали. Осадок отделили, промыли, высушили и прокалили с гид-роксидом натрия, при этом образовалась соль массой 16,05 г. Через фильтрат пропустили избыток углекислого газа, в результате чего образовался осадок массой 3,9 г. Определите массовую долю оксида хрома(Ш) в смеси.
Pешение
1. В концентрированном растворе щелочи растворяется только оксид алюминия с образованием комплексной соли. При пропускании углекислого газа через ее раствор эта соль разрушается и образуется гидроксид алюминия. Смесь хрома(Ш), который не растворился в растворе щелочи, при сплавлении с гидроксидом натрия образует хромит натрия:
2. Oпределим массу Al2O3 в смеси:
An(Al2O3) = 0,025 моль ■ 102 г/моль = 2,55 г.
3. Hайдем массу Cr2O3 в смеси:
An(Cr2O3) = 0,075 моль ■ 152 г/моль = 11,4 г.
4. Hайдем массовую долю Cr2O3 в смеси:
т(см.) = 11,4 г K 2,55 г = 13,95 г;
Oтвет: MJ(Cr2O3) = 81,72%.
Задача 6. Cмесь хлоридов алюминия и хрома(Ш) массой 317 г обработали сначала избытком раствора гидроксида калия, а затем — избытком хлорной воды. К полученному раствору прилили избыток нитрата бария, при этом образовалось 126,5 г осадка желтого цвета. Рассчитайте массовую долю хлорида хрома(Ш) в исходной смеси.
Pешение
1. В избытке щелочи образуются гидроксокомплексы и алюминия, и хрома(Ш), но с хлорной водой реагирует только гидроксо-комплекс хрома(Ш):
2. По количеству хромата бария (осадок желтого цвета) рассчитаем количество вещества, массу и массовую долю CrCl3:
