Определение уроновых кислот и полиуронидов
где а — расход на титрование раствора HCl концентрацией 0,1 моль/дм3 в контрольном опыте, см3; b — расход на титрование раствора HCl концентрацией 0,1 моль/дм3 в рабочем'опыте, см3; 0,0097 — масса уроновых кислот, соответствующая 1 см3 раствора HCI концентрацией 0,1 моль/дм3, г; g — масса абсолютно сухой навески древесины, г.
Расхождение между результатами двух параллельных определений не должно превышать 0,5%.
2. Пектиновые вещества и методы их определения
В древесине в срединной пластинке пектиновые вещества присутствуют преимущественно в нерастворимой форме, т. е. в виде протопектина. В состав комплекса протопектина входят галактуронаны, арабинаны и галактаны, частично связанные между собой химическими связями. Нерастворимость протопектина в воде обусловлена образованием карбоксильными группами галактуронанов солей кальция и магния, с возникновением поперечных мостиков между цепями. Поэтому для извлечения пектиновых веществ из древесины вместо экстрагирования водой применяют обработку горячими растворами оксалата или цитрата аммония, приводящую к разрушению этих мостиков в результате обменной реакции с образованием нерастворимых солей — оксалатов или цитратов кальция и магния.
Для количественного определения полиуронидной части пектиновых веществ можно использовать гравиметрический кальций-пектатный метод, основанный на гидролизе сложноэфирных групп пектиновой кислоты под действием гидроксида натрия, в результате чего пектиновая кислота превращается в полигалактуроновую кислоту, называемую пектовой кислотой, с последующим осаждением из раствора пектата кальция.
Кальций-пектатный метод имеет ряд недостатков: неполное осаждение полиуроновых кислот при одновременном осаждении нейтральных полисахаридов; невозможность определения всех составляющих комплекса пектиновых веществ, т. е. не только его полиуронидной, но и нейтральной части; большая длительность анализа.
Для одновременного количественного определения массовой доли в древесине и состава пектиновых веществ предложен спектрофотометрический метод, позволяющий с помощью о-толуидинового реагента определять полиуроновые кислоты, гексозавы и пентозаны непосредственно в растворе без осаждения. Метод основан на извлечении пектиновых веществ раствором цитрата аммония с последующим гидролизом полиуронидов и полисахаридов серной кислотой и определением образовавшихся моносахаридов и галактуроновой кислоты с о-толуидиновым реагентом. Образующиеся окрашенные соединения определяют спектрофотометрический методом.
В работе установлены оптимальные условия анализа, которые и приводятся в изложенной ниже методике. Для нахождения моносахаридного состава нейтральных полисахаридов комплекса пектиновых веществ можно использовать хроматографический анализ.
3. Определение пектиновых веществ спектрофотометрический методом с отолуидиновым реагентом
Методика анализа. Навеску измельченной древесины или другого растительного сырья массой около 1 г помещают в грушевидную колбу вместимостью 100 см3, добавляют 40 см3 1%-ного раствора цитрата аммония и кипятят с обратным холодильником на электрической плитке в течение I ч. Полученный раствор отфильтровывают горячим через конусообразную стеклянную воронку с бумажным фильтром в мерную колбу на 100 см3. Попавшие на фильтр частицы древесины смывают новой порцией 1%-ного раствора цитрата аммония и повторяют обработку. Остаток древесины в колбе и на фильтре промывают небольшим объемом горячей дистиллированной воды и присоединяют промывные воды к раствору в мерной колбе. После охлаждения колбы с раствором до 20°С его объем доводят до метки дистиллированной водой.
Для проведения гидролиза полиуронидов и полисахаридов отбирают пипеткой 5 см3 раствора пектиновых веществ в кругло-донную колбу вместимостью 25 см3, добавляют пипеткой 5 см3 раствора серной кислоты концентрацией 4 моль/дм3, вносят стеклянные «кипятильники» и кипятят с обратным холодильником на электрической плитке в течение 3 ч.
Гидролизат охлаждают до комнатной температуры и нейтрализуют равным объемом раствора карбоната натрия концентрацией 2 моль/дм3. Нейтрализацию из-за сильного вспенивания проводят в высокой пробирке. Можно нейтрализовать не весь, а только часть гидролизата, достаточную для последующего анализа.
Для проведения анализа углеводных компонентов в пробирку с конусом типа П4 вместимостью 10 см3 пипеткой вносят 0,5 см3 нейтрализованного гидролизата, добавляют пипеткой 4 см3 о-толуидинового реагента и перемешивают содержимое. Параллельно в другой пробирке готовят раствор сравнения. Обе пробирки нагревают на кипящей водяной бане в течение 30 мин. Затем пробирки охлаждают до комнатной температуры, переливают растворы в кюветы с толщиной слоя 1 см3 и на спектрофотометре измеряют оптические плотности раствора при аналитических длинах волн 365, 385 и 630 нм, используя в качестве раствора сравнения смесь воды и OTP.
В такой же кювете измеряют оптическую плотность контрольного раствора — нейтрализованного гидролизата, разбавленного в 9 раз для учета разбавления при анализе с OTP при длинах волн 365 и 385 нм, используя в качестве раствора сравнения дистиллированную воду.
Для расчета коэффициентов поглощения строят градуировочные графики для используемого спектрофотометра по растворам чистых Сахаров
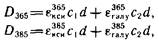
Вывод уравнений и расчет коэффициентов. В применении к анализируемому раствору Сахаров уравнения Фирордта будут иметь вид
где D36S и D385 — оптические плотности анализируемого раствора
при длинах волн 365 и 385 нм за вычетом поглощения гекеоз; с, и 'Ci—концентрации соответственно пентоз и галактуроновой кислоты, мкг/см3;
— коэффициенты поглощения продуктов реакции с OTP пентоз и галактуроновой кислоты при длинах волн 365 и 385 нм; d — толщина кюветы, см, d= 1 см.
Решая систему двух уравнений, получают уравнения для расчета концентрации, мкг/см3, пентоз
C = ZiD385 -SD365
и галактуроновой кислоты
2=CD365 — EDis5,
где соответствующие коэффициенты будут равны
Расчет массовой доли пектиновых веществ. После расчета концентрацией, мкг/см3, галактуроновой кислоты Ci, пентоз Cl и гекеоз рассчитывают массы полисахаридов и полиуронидов с учетом общего объема раствора пектиновых веществ, разбавлений з при гидролизе и нейтрализации и коэффициентов пересчета моносахаридов в полисахариды:
Галактуронан = сгму · 400 · 0,907 · IO-YПентозаны = сп<.нтоз · 400 · 0,88 · 10"6 г, Гексозаны = сгексоэ · 400 · 0,90 · IO-V
Затем рассчитывают общую массу пектиновых веществ как сумму масс всех полисахаридов и полиуронидов тпв = галактуронан + пентозаны -4- гексозаны.
Массовую долю пектиновых веществ Xnii,% к исходной абсолютно сухой древесине, рассчитывают по формуле
