Определение целлюлозы и холоцеллюлозы
3. Определение холоцеллюлозы методом хлорирования
Для проведения анализа можно использовать аппарат для хлорирования древесины стандарта TAPPI T 9 т, изображенный на рис. Аппарат устанавливают в вытяжном шкафу.
Методика анализа. Навеску воздушно-сухих обессмоленных спиртотолуольной смесью или этиловым эфиром опилок массой около 2 г помещают в стеклянный пористый фильтр / аппарата для хлорирования. Влажность обессмоленной древесины определяют в отдельной пробе по обычной методике. Навеску увлажняют холодной дистиллированной водой и отсасывают ее избыток. Охлаждающую рубашку 2 заполняют ледяной водой. Затем проводят хлорирование пропусканием газообразного хлора через перевернутую конусообразную воронку 3, применяя умеренное отсасывание. После 5 мин хлорирования отсасывание прекращают и сливают охлаждающую воду. В фильтр заливают 95%-ный этанол для удаления избытка хлора и образовавшейся соляной кислоты, выдерживают 1 мин и отсасывают. Затем в фильтр заливают горячий 3%-ный раствор моно-этаноламина в 95%-ном этаноле, оставляют на 2 мин и отсасывают. Обработку растворителем повторяют еще раз, после чего промывают древесину от остатков растворителя дважды этанолом и дважды холодной дистиллированной водой, удаляя ее избыток отсосом. Снова заливают в рубашку охлаждающую • воду. Повторяют хлорирование и последующие обработки, пока остаток на фильтре не будет оставаться белым при последующем хлорировании и обработке эта-нольным раствором моноэтаноламина. Затем холоцеллюлозу промывают этанолом, холодной дистиллированной водой, снова этанолом и, наконец, этиловым эфиром для ускорения последующей сушки. Полученную холоцеллюлозу подсушивают на воздухе для удаления эфира, а затем фильтр с холоцеллюлозой сушат в сушильном шкафу при температуре °С до постоянной массы и взвешивают.
Массовую долю холоцеллюлозы, % к абсолютно сухой исходной древесине, рассчитывают по формуле
где т{ – масса фильтра с холоцеллюлозой, г; т – масса пустого фильтра, г; g – масса абсолютно сухой навески обес-смоленной древесины, г; K3 – коэффициент экстрагирования органическим растворителем. Примечания:
1. Если после предварительного экстрагирования проводили дополнительную обработку раствором щелочи, вместо К, при расчете используют общий коэффициент экстрагирования К,щ.
Если препарат холоцеллюлозы предназначается для последующих анализов, то сушить холоцеллюлозу следует на воздухе или в вакуум-сушильном шкафу при температуре не выше 60 °С. В этом случае массовую долю холоцеллюлозы определяют в отдельной пробе обессмоленной древесины,
3. В соответствии с модифицированной методикой этанольный раствор моноэтаноламина можно заменить 5%-ным раствором моноэтаноламина в диоксане и, соответственно, этанол для промывки – диоксаном.
4. При необходимости внесения поправок в холоцеллюлозе определяют остаточные лигнин, пентозаны, золу.
4. Определение холоцеллюлозы хлоритным методом
Методика анализа. Навеску воздушно-сухих обессмоленных спиртотолуольной смесью или этиловым эфиром опилок массой около 5 г помещают в коническую
колбу вместимостью 250 см'1. Добавляют последовательно 160 см'' дистиллированной воды, 0,5 см'' ледяной уксусной кислоты и г NaClO2. Все one-рации, а также последующие нагревание, фильтрование и промывку обязательно проводят в вытяжном шкафу из-за высокой токсичности выделяющегося диоксида хлора. Реакционную колбу прикрывают перевернутой небольшой конической колбой и нагревают на водяной бане при температуре содержимого колбы 70…80 °С в течение 1 ч при периодическом перемешивании. Затем добавляют еще 0,5 см ледяной уксусной кислоты и г NaCIO2, перемешивают и продолжают нагревание при 70…80 °С еще 1 ч. При анализе древесины хвойных пород проводят еще две таких обработки, а для древесины лиственных пород – еще одну. По окончании делигнификации колбу с реакционной смесью охлаждают в бане со льдом так, чтобы температура содержимого колбы не превышала Ю°С. Холоцеллюлозу отфильтровывают с отсосом на высушенном до постоянной массы стеклянном пористом фильтре, смывая на фильтр небольшим объемом холодной дистиллированной воды, и промывают ацетоном, 95%-ным этанолом, холодной дистиллированной водой. Фильтр с холоцеллюлозой сушат в вакуум-сушильном шкафу при температуре не выше 60 °С до постоянной массы и взвешивают. Можно также высушить холоцеллюлозу на воздухе и после взвешивания определить ее влажность по обычной методике.
Массовую долю холоцеллюлозы, % к абсолютно сухой исходной древесине, рассчитывают по формуле, приведенной выше.
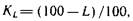
Для расчета массовой доли чистой холоцеллюлозы необходимо внести поправку на остаточный лигнин, так как в хлоритной холоцеллюлозе его должно оставаться примерно 2…4%. В противном случае будут наблюдаться большие потери полисахаридов Тогда массовую долю хлоритной холоцеллюлозы, % к абсолютно сухой исходной древесине, рассчитанную по формуле, умножают на поправочный коэффициент Kl
где L – массовая доля лигнина в холоцеллюлозе, %.
Выделенную холоцеллюлозу используют для последующих анализов.
Примечания:
1. При выделении хлоритной холоцеллюлозы из древесины лиственных пород ее предварительному экстрагированию органическими растворителями можно не подвергать.
2. При выделении хлоритной холоцеллюлозы из древесины тропических пород и другого малоизученного сырья рекомендуется предварительно определить необходимое число обработок подкисленным раствором хлорита натрия.
5. Определение холоцеллюлозы с надуксусной кислотой
Метод делигнификации древесины надуксусной кислотой наиболее удобен, так как позволяет избежать работы с токсичными газами – хлором и диоксидом хлора – и с взрывоопасным хлоритом натрия. Надуксусную кислоту можно получать различными методами – взаимодействием пероксида водорода с уксусной кислотой или уксусным ангидридом в присутствии серной кислоты в качестве катализатора.
Методика анализа. Навеску воздушно-сухих обессмоленных спиртотолуольной смесью или этиловым эфиром опилок массой около 5 г помещают в коническую колбу вместимостью 500 см3 и добавляют мерным цилиндром 250 см3 10%-ного раствора надуксусной кислоты при комнатной температуре. Колбу покрывают часовым стеклом и помещают в водяную баню с температурой 90 °С. С момента достижения реакционной смесью температуры 75 °С колбу выдерживают в бане при периодическом перемешивании 30…60 мин в случае древесины хвойных пород и 15…20 – для древесины лиственных пород. Затем содержимое колбы разбавляют дистиллированной водой температурой 50 °С, отфильтровывают холоцеллюлозу на стеклянном пористом фильтре и промывают нагретой дистиллированной водой до отрицательной реакции на пероксид с титанилсульфатом, затем теплой смесью ацетона с этанолом. Фильтр с холоцеллюлозой сушат в вакуум-сушильном шкафу при температуре 45 °С до постоянной массы.
6. Определение содержания альфа-целлюлозы в древесине
Для определения альфа-целлюлозы древесину сначала обес-смоливают экстрагированием органическими растворителями, а затем выделяют холоцеллюлозу одним из вышеперечисленных методов. В соответствии со стандартом ANSI/ASTM D 1103 выделенную методом хлорирования холоцеллюлозу после сушки на воздухе непосредственно используют для определения альфа-целлюлозы.
