Основы химической технологии
Задачу решаем двумя способами без учета плотности и с учетом плотности.
1 Определим τрис-п без учета изменений плотности:
1.1 Изобразим схему расчета:
Рисунок 5 - Расчетная схема
2 Определим τрис-п с учетом изменения плотности( объема):
2.1 Изобразим схему расчета
Рисунок 6 - Схема расчета
2.2 Определим степень изменения объема :
[мет. 2 с.30]
Принимаем , что объем и плтности взаимосвязаны следующим образом.
где
это объем и плотность смеси в данный,
объем и плотность в начальный момент времени.
По условию, если ХА =1, то
2.3 Определим СА.О:
2.4 Определим концентрацию СА :
Примечание: задачу решаем в общем виде.
2.5 Определим скорость химической реакции:
2.6 Определим τрис-п :
Подставим значение скорости
и получим:
Проинтегрируем и получим:
Подставим численные значения:
Задача 10
Рассчитать объём реактора идеального вытеснения (РИВ) при проведении в нём реакции: А R+SО.
Условия:
1 Объёмный расход исходного компонента ![]()
;
2 Начальная концентрация ![]()
;
3 Константа скорости химической реакции ![]()
4 Степень превращения
.
Примечания:
1 Данная реакция второго порядка (это следует из уравнения реакции и размерности константы скорости химической реакции);
2 Размерность величин переведём в систему СИ , так как объёмный расход и константа скорости химической реакции приведены в разных размерностях.
Рассчитаем объём реактора идеального вытеснения:
;
![]()
.
Задача 11
Определить какое количество вещества А можно переработать в РИС-П за сутки при проведении реакции :
, если
объём РИС-П
;
степень превращения
;
константа скорости реакции
;
начальная концентрация реагента А
;
коэффициент заполнения реактора ψ=0,8;
время загрузки и выгрузки за одну операцию 30 мин;
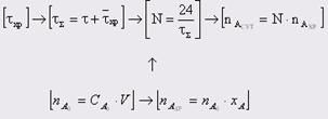
1 Изобразим алгоритм расчета на схеме:
Рисунок 7 – Алгоритм решения
2 Определим
3 Определим
4 Определим N
5 Определим количество вещества
6 Определим
7 Определим
Задача 12
В реакторе идеального смешения периодического действия (РИС-П) проводится изотермическая реакция:
. Реактор заполнен чистым веществом А, мольная масса М которого 110
. Плотность вещества ![]()
. Степень превращения вещества
. Константа равновесия ![]()
. Продолжительность вспомогательных операций ![]()
. Объём реактора ![]()
; степень заполнения реактора исходным реагентом
.
Определить продолжительность реакции
, производительность реактора
и количество вещества А, подвергнутого превращению в 1
реактора за 1
, то есть интенсивность реактора I.
Рисунок 8 – Схема расчёта
1 Определим начальную концентрацию реагента А:
;
