Особенности гель-фильтрации
2. Фракционирование (разделение) смеси макромолекул не очень значительно различающихся по своим размерам. Например, различных белков. Здесь следует использовать длинные (1-1,5 м) колонки, диаметром не более 1 см и загружать их объемом исходного препарата, составляющем не более 1-2% от объема колонки. Если смесь содержит 2-3 компонента, то их нередко удается разделить полностью — они выходят в виде довольно широких, но не перекрывающихся друг с другом пиков.
Если же смесь состоит из нескольких компонентов, то на хорошее их разделение методом гель-фильтрации рассчитывать не приходится. Ведь все эти компоненты, хотя и с различной скоростью, движутся по колонке одновременно. (Другое дело истинная хроматография. Там на первый план выступает сорбция компонентов на модифицированном материале гранул и каждый из них остается сорбированным внутри гранул до тех пор, пока элюент «принудительно» не извлечет его оттуда.)
Тем не менее, и в этом случае гель-фильтрацию можно использовать для очистки одного из компонентов сложной смеси, если примириться с его довольно значительными потерями. С этой целью смесь, например белков, разгоняют по объему элюента так, что интересующий экспериментатора белок оказывается где-то в середине последовательности не полностью разделившихся пиков разных белков. (Для этого надо подобрать размер пор используемых гранул.) Если нужный белок поддается идентификации, например по ферментативной активности, которая ввиду мягкости способа фракционирования вполне может сохраниться, то можно отобрать узкую область элюента, прилегающую к вершине пика этого белка. Таким образом, хотя и со значительными потерями, иногда удается получить практически чистый белок.
Основные материалы гранул («матриц») для гель-фильтрации
Именно здесь уместно познакомиться с основными материалами, из которых различные фирмы изготавливают матрицы для гель-фильтрации, поскольку те же материалы после соответствующей химической модификации используются в других видах хроматографии.
1. Гели на основе декстрана— «сефадексы»»
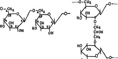
Чаще всего для построения хроматографических гранул используют длинные нити полисахаридов. В частности, нити декстрана — линейного полимера, состоящего из множества одинаковых звеньев одного из Сахаров, а именно — глюкозы.
На рис. 55 слева показана связь между двумя соседними молекулами глюкозы. Как это уже было принято для Сахаров нуклеиновых кислот, в углах шестиугольника, обозначенных цифрами 1—5 следует подразумевать атомы углерода, а на открытых концах вертикальных черточек — атомы водорода. Связь осуществляется через атом кислорода между углеродами в позициях 1 и 6.
На том же рисунке справа показан короткий «мостик», связывающий две пересекающиеся друг с другом нити декстрана. (Заметьте, что связанные таким образом звенья глюкозы расположены симметрично.) Чем выше содержание мостиков по отношению к количеству глюкозы в нитях декстрана, тем меньше будет размер пор («ячеек»), которые они образуют.
Иногда в качестве материала гранул используют уже знакомый нам по электрофорезу полиакриламидный гель (ПААГ).
1а. «Сефакрилы».
Это — матрицы на основе того же декстрана, но в качестве связующих нити «мостиков» используется также знакомая нам по ПААГ связка — ЫТ^-метиленбисакриламид («Бис»).
2. Гели на основе агарозы — «сефаррзы».
Заметим, что максимальная концентрация агарозы, которая называлась тем, составляла 2%. А затвердевают гели агарозы при остывании из расплавленного состояния уже при концентрации в 0,4%. Однако они относительно мягкие. Для целей гель-фильтрации и других видов хроматографии используют жесткую, 4-х или 6-ти процентную агарозу, в виде сферических гранул. Поры при этом остаются еще весьма крупными. Иногда нити агарозы, все-таки сшивают дополнительно химическими «мостиками». Получаются еще более жесткие гранулы. Их торговое название «сефароза CL» (CL означает cross linked).
2а. «Улътрагели типа АСА»»
Внутри жесткого крупнопористого каркаса агарозы полиме-ризуют ПААГ, что позволяет варьировать меньшие размеры пор в широких пределах, сохраняя жесткость гранул агарозы.
Гели на основе целлюлозы
Целлюлоза — это тоже линейный полимер, составленный из множества молекул все той же глюкозы, но связанных между собой иначе, чем в декстране. Ее часто используют в виде, так называемой, «волокнистой целлюлозы», то есть просто в виде хаотически спутанных длинных нитей полимера, без всяких дополнительных связок. В варианте «микрогранулированной целлюлозы» между нитями для увеличения жесткости вводят связующие химические «мостики». Один из типов такой целлюлозы имеет торговое название «сефацел».
В нашем ознакомительном курсе не имеет смысла приводить подробные списки матриц для гель-фильтрации из каталогов различных форм. Достаточно упомянуть, что списки эти бывают достаточно длинными, предлагая пользователю широкий выбор гранул различного размера и разной пористости, особенности которых часто бывают зашифрованы индексом, стоящим после основного названия. Так, к примеру, шведская фирма Pharmacia предлагает список из 18 типов сефадекса с индексами от G-10 до G-200, в соответствии с постепенно увеличивающимися размерами пор. Японская фирма Toyopearl выпускает 10 типов гранул для гель-фильтрации с индексами от HW40C до HW75F.
Мне остается обратить внимание читателя на то, что все матрицы для гель-фильтрации на основе декстрана, агарозы и целлюлозы в своих «сахарных» звеньях содержат множество ОН-групп, по которым возможны присоединения различных химически активных молекул, осуществляющих желательную модификацию исходно нейтральных гранул. С этими модификациями мы познакомимся в следующих главах, где речь пойдет об истинной хроматографии.
Детекторы вещества
Их назначение — вести непрерывную регистрацию состава жидкости, вытекающей из колонки, на предмет обнаружения в ней искомых фракций вещества. Поскольку одновременно с регистрацией производится автоматически отсчет пробирок в коллекторе фракций, экспериментатор освобождается от длительной проверки содержимого каждой пробирки. Распределение по ним фракций исследуемого вещества выясняется уже в ходе хроматографии.
Регистрацию белков и нуклеиновых кислот производят по поглощению света в ультрафиолетовой области спектра. Белки и пептиды поглощают в области 206-215 тц за счет пептидной связи, а также в широкой области вблизи 280 тц за счет присутствия в них ароматических аминокислот. (Неароматические аминокислоты при их хроматографическом разделении приходится специально окрашивать.) Нуклеиновые кислоты, равно как и сами нуклеиновые основания, хорошо поглощают ультрафиолетовый свет вблизи 260 тц.
В некоторых случаях (вспомним о секвенаторе ДНК) регистрировать выход вещества из хроматографической колонки можно и по флюоресценции. Однако при этом требуется дополнительная операция предварительной окраски интересующего нас вещества флюоресцентным красителем.
