Особенности сорбционных свойств полимер-полимерных композитов, полученных полимеризацией метилметакрилaта в матрице изотактического полипропилена
Не менее необычным оказывается поведение композитов и при десорбции СС14. При уменьшении давления паров образцы чистого ИПП обнаруживают обратимое изменение сорбции, и при вакуумировании они полностью теряют весь сорбированный СС14. В то же время в случае композитов ИПП — ПММА выдерживание образцов, просорбировавших при давлении пара 0,7, при давлении 0,6 в течение 2 сут не приводит к уменьшению сорбции, которое можно было бы обнаружить с помощью весов Мак-Бена. Выдерживание этого же образца на воздухе в течение 20 сут при комнатной температуре также не вызывает заметной десорбции СС14. Результаты дальнейших экспериментов по десорбции из композита ИПП — ПММА, содержавшего в исходном состоянии 21,2% СС14, представлены в табл. 2. Хорошо видно, что только совместным действием вакуума 10-2 мм рт. ст. и повышением температуры от комнатной (23°) до 40° удается вызвать частичную десорбцию СС14.
Таким образом, введение в ИПП стеклообразного ПММА полимеризацией в полимерной матрице резко изменяет его сорбционные характеристики. Возникает ряд вопросов. Чем объясняется необычный вид изотерм сорбции и почему существует пороговое давление паров СС14, ниже которого сорбция не наблюдается? Чем объясняется необычная кинетика сорбции и способность композита поглощать столь большие количества СС14, хотя чистый ИПП способен сорбировать в несколько раз меньшие количества СС14, а чистый ПММА вовсе его не сорбирует? Почему десорбция СС из композита в значительной степени необратима или очень затруднена?
Можно предположить, что столь большое поглощение СС14 связано с некоторыми структурными перестройками в композите. Поэтому были предприняты микроскопические исследования образцов композитов ИПП— ПММА до и после воздействия на них СС14. Из рис. 4, а хорошо видно, что исходный образец достаточно однороден вдоль всего поперечного сечения. В то же время при взаимодействии композита с СС14 наблюдаются заметные структурные перестройки (рис. 4, б). С обеих поверхностей, т. е. там, где композит взаимодействовал с СС14, его структура выглядит более рыхлой, чем плотная сердцевина. Между рыхлой оболочкой и плотной сердцевиной имеется очень резкая граница. Свойства сердцевины и оболочки различаются столь сильно, что при получении хрупких сколов материал разрушается с образованием характерных ступенек, возникающих на их поверхностях раздела.
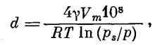
Естественно предположить, что возникновение рыхлой пористой структуры и обусловливает столь большие количества поглощаемого СС14 путем его конденсации в возникающих микропустотах. Вид изотермы сорбции композита (рис. 1, кривая 2) позволяет предположить, что для инициирования процесса проникновения СС14 в композит необходимо наличие его жидкой фазы. Данные рис. 1 дают возможность рассчитать размеры характеристического дефекта в композите, на котором при измеренном пороговом давлении пара СС14 начинается его конденсация. Для этой цели можно использовать уравнение Томсона (Кельвина) [10]
где d — диаметр пор в A; f — поверхностное натяжение CC14, равное 26,8 эрг/см2; Vm — мольный объем СС14, равный 97,1 см3/моль. Так как резкое возрастание сорбции наблюдается в интервале относительных дав лений пара СС14 от 0,6 до 0,65 (рис. 1), то расчет дает значения диаметра пор от -80 до -100 А.
Рис. 4. Микрофотографии образцов композитов ИПП - ПММА до взаимодействия с СС14 (а) и после сорбции СС14 из жидкой фазы в течение 30 сут (б). Получено с использованием сканирующего электронного микроскопа
Проведенные расчеты в совокупности с представленными электронно-микроскопическими данными позволяют предложить следующий механизм обнаруженного явления. Создание небольших давлений пара не вызывает заметного набухания композита ввиду того, что ИПП, способный набухать в СС14, находится в жестком каркасе ПММА, препятствующем изменению размеров ИПП фазы. Так продолжается до тех пор, пока не начинается конденсация СС14 в узких поверхностных порах, характерных для структуры композита. Возникновение жидких пленок СС14 столь малых размеров приводит к появлению расклинивающего давления, играющего важную роль в стабилизации дисперсных систем [10]. В результате возникновения расклинивающего давления начинается своеобразное самопроизвольное диспергирование структуры композита, построенного из термодинамически несовместимых полимерных компонентов. Такого рода самопроизвольное диспергирование путем проникновения жидкости по границам между зернами хорошо известно и подробно описано для низкомолекулярных дисперсных систем [11]. Самопроизвольное их возникновение возможно в том случае, если выполняется термодинамический критерий Гиббса — Смита
т. е. замена межфазной границы ИПП — ПММА на границу каждого из компонентов с СС14 должна приводить к выигрышу в межфазной поверхностной энергии.
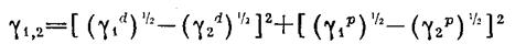
Проверку выполнения условия (2) проводили с использованием формулы Оуэнса — Вендта [12, 13], позволяющей рассчитать межфазную поверхностную энергию
Индексы d и р относятся к дисперсионной и полярной составляющим поверхностного натяжения соответствующих фаз. Полученные значения межфазного натяжения соответственно равны Уипп-пмма=4,6 эрг/см2; 7ипп-ссц=0,07~0,1 эрг/см2; Чпмма-ссь=4,96«0,5 эрг/см2. Подстановка найденных значений в неравенство (2) дает 4,6< (5,0+0,1) =5,1 эрг/см2, т. е. условие Гиббса — Смита не выполняется. Хотя различие в поверхностной энергии системы до и после сорбции невелико (0,5 эрг/см2), оно положительно, и, следовательно, возникающая дисперсная система не является лиофильной. Видимо, в данном случае мы имеем дело с так называемым квазисамопроизвольным диспергированием [И]. Вероятно, в этом случае поверхностная энергия границы раздела ипп-пмма включает в себя дополнительный вклад А у, связанный с упругой энергией, запасенной системой в процессе фазового разделения при синтезе композита [14]. Существование напряженности сосуществующих фаз обсуждалось ранее и наиболее характерно проявляется в сорбционных свойствах таких систем [7]. Наличие добавочного напряжения, связанного с запасенной упругой энергией, компенсирует небольшой избыток межфазной энергии в системе и способствует выполнению условия Гиббса — Смита. В результате этого левый член неравенства (2) делается больше правого, и процесс самопроизвольного диспергирования становится термодинамически выгодным.
