Перемешивание жидких сред
Перемешивание жидких сред, пастообразных и твердых сыпучих материалов – один из наиболее распространенных процессов химической технологии. Чаще всего в технике встречаются процессы перемешивания жидких сред – типичный пример смешанной задачи гидродинамики.
Под перемешиванием жидких сред понимают процесс многократного относительного перемешивания макроскопических элементов объема жидкой среды под действием импульса, передаваемого среде механической мешалкой, струей газа или жидкости.
Перемешивание жидких сред применяют для решения следующих основных задач: 1) интенсификации процессов тепло- и массопереноса, в том числе и при наличии химической реакции;
2) равномерного распределения твердых частиц в объеме жидкости (при приготовлении суспензий), а также равномерного распределения и дробления до заданной дисперсности жидкости в жидкости (при приготовлении эмульсий) или газа в жидкости (при барботаже).
Аппараты с перемешивающими устройствами широко используют в химической технологии для проведения таких процессов, как выпаривание, кристаллизация, абсорбция, экстракция и др.
При перемешивании градиенты температур и концентраций в среде, заполняющей аппарат, стремятся к минимальному значению. Поэтому аппараты с мешалкой, например, по структуре потоков наиболее близки к модели идеального смешения.
Перемешивание жидких сред может осуществляться различными способами: вращательным или колебательным движением мешалок (механическое перемешивание); барботажем газа через слой жидкости (пневматическое перемешивание); прокачиванием жидкости через турбулизующие насадки; перекачиванием жидкости насосами по замкнутому контуру (циркуляционное перемешивание).
Процесс перемешивания характеризуется интенсивностью и эффективностью, а также расходом энергии на его проведение.
Интенсивность перемешивания определяется количеством энергии N, подводимой к единице объема V перемешиваемой жидкости в единицу времени (N/V) или к единице массы перемешиваемой жидкости (I= N/Vс). Интенсивностью перемешивания обусловлен характер движения жидкости в аппарате. Повышение интенсивности перемешивания всегда связано с увеличением энергозатрат, а технологический эффект от увеличения интенсивности перемешивания ограничен строго определенными пределами. Поэтому интенсивность перемешивания следует определять исходя из условий достижения максимального технологического эффекта при минимальных энергозатратах. Интенсификация процесса перемешивания позволяет повысить производительность установленной аппаратуры или снизить объем проектируемой.
Механическое перемешивание
перемешивание жидкий импульс энергия
В промышленности для перемешивания в основном используют механические мешалки с вращательным движением. При работе таких мешалок возникает сложное трехмерное течение жидкости (тангенциальное, радиальное, аксиальное) с преобладающей окружной составляющей скорости. Тангенциальное течение, образующееся при работе всех типов мешалок, является первичным. Обычно среднее значение окружной (тангенциальной к радиусу вращения) составляющей скорости (wт) существенно превышает средние значения как радиальной (wp), так и аксиальной, или осевой (wa), составляющих.
Под действием центробежной силы, возникающей при вращении любого типа мешалки с достаточно большой частотой, жидкость стекает с лопастей в радиальном направлении. Дойдя до стенки сосуда, этот поток делится на два: один движется вверх, другой – вниз. Возникновение радиального течения приводит к тому, что в переходной области создается зона пониженного давления, куда и устремляется жидкость, текущая от свободной поверхности жидкости и от дна сосуда, т.е. возникает аксиальный (осевой) поток, движущийся в верхней части сосуда сверху вниз к мешалке.
Таким образом, в аппарате создается устойчивое аксиальное течение, или устойчивая циркуляция.
Объем циркулирующей жидкости в единицу времени в аппарате с мешалкой называют насосным эффектом, который является важной характеристикой мешалки: чем больше насосный эффект, тем лучше в данном аппарате идет процесс перемешивания.
При работе вращающихся механических мешалок на поверхности жидкости возникает воронка, глубина которой растет с увеличением частоты вращения мешалки (в пределе она может достигать дна сосуда). Это явление отрицательно сказывается на эффективности перемешивания и значительно снижает устойчивость работы мешалки. На глубину и форму воронки большое влияние оказывают диаметр мешалки и частота ее вращения.
Рис. 1. Циркуляция жидкости при перемешивании лопастными мешалками
Для предотвращения образования воронки у стенок аппаратов с быстроходными мешалками устанавливают радиальные отражательные перегородки, причем наиболее часто – на некотором расстоянии от стенки корпуса (для снижения возможности образования застойных зон). Экспериментальным путем найдено, что оптимальное число отражательных перегородок равно четырем, а их ширина составляет примерно 10% от диаметра аппарата.
Рис. 2. Перемешивание жидкости в сосудах с перегородками
3. Расход энергии на перемешивание
Рассмотрим лопасть, обтекаемую жидкостью. Сила сопротивления R, согласно закону Ньютона, определяется по формуле
R =(оFлсw2)/2 (1)
(т.е. смешанную задачу гидродинамики сводим к внешней), где Fл – площадь лопасти (рис. 3), равная произведению ее ширины b на удвоенный радиус r, т.е. Fл = 2br.
Рис. 3. К расчету мощности, затрачиваемой на перемешивание
Допустим, что жидкость неподвижна и w – окружная скорость вращающейся мешалки, которая изменяется по длине лопасти, причем w = щr (где щ – угловая скорость), или w = 2рrn. Сила сопротивления dR на элементе поверхности dFn = 2bdr определяется по формуле
dR = 2оbс (2рnr)2 dr/2. (2)
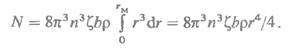
Тогда мощность, расходуемая на перемешивание, dN=wdR, равна
(3)
или
(3а)
Величину b можно выразить в долях от диаметра мешалки, т.е. b=цdM (где ц-коэффициент, зависящий от геометрических размеров мешалки). С учетом того, что rM =dM/2, получим
N=р3оцсn3dM5/8 (4)
Обозначим отношение (р3оц)/8 как KN. Тогда
N= KN сn3dM 5 (5)
Отсюда
КN = N/(сn3dм5). (5а)
Эту величину принято называть критерием мощности, или модифицированным критерием Эйлера (для мешалок); его называют также центробежным критерием Эйлера. Действительно, критерий Эйлера Eu = Др/(сw2), причем w ~ nd. Гидравлическое сопротивление при вращении мешалки в жидкой среде Др ~ N/(ndм3). Тогда:
EuМ = N/(сn3dм5)= КN (6)
Для описания процесса перемешивания пользуются модифицированным критерием Рейнольдса.
Rец= сnd2/м. (7)
Критическое значение этого критерия: Rец≈ 50
