Пестециды
Роль пестицидов в загрязнении почв.
Сразу же после внедрения органических средств борьбы с сельскохозяйственными вредителями (пестицидов) последние стали попадать в почву. Это было отмечено еще в начале 1940-х гг., когда первый пестицид ДДТ был с успехом применен для уничтожения малярийного комара (анофелеса). В первое время проникновению пестицидов в почву не придавалось особого значения, однако позднее стали разрабатываться методы обнаружения распада пестицидов в почве, их адсорбцию в почвах. При изучении распада этих веществ прежде всего оценивалась скорость распада вещества и время необходимое для полного распада. Необходимо изучать также дальнейшее поведение продуктов распада в почве в их токсичность. Подлежит изучению и адсорбция пестицидов в почве, для чего часто используют метод средних проб двух образцов почв и осадков. Пестициды накапливаются в почве в результате диффузии в кристаллические решетки минералов (глин), при отложения их в гумусах при их проникновении в полости частиц гумуса. Исследования по выяснению превращения пестицидов в почвах и их взаимодействия с другими веществами систематически не проводились.
Трудность установления длительности пребывания пестицидов в почве усугубляется еще и тем, что наряду с известными путями проникновения пестицидов в почву имеются и такие источники, как дожди и туманы, которые мало изучены и плохо поддаются контролю. В США, например, в 1 литре дождевой воды было обнаружено 11 различных пестицидов в концентрациях порядка микрограммов. При этом кратковременные дожди несут больше загрязний, чем длительные, а концентрация некоторых пестицидов в дождевой воде оказывается больше, чем в свое время для ДДТ. В тумане концентрация пестицидов превосходит в 50-3000 раз концентрацию их в газовой фазе. Особенно интенсивно извлечение пестицидов из туманов протекает над лесами, после чего устойчивость пестицидов длительное время нарушает экологическую систему лесов и прилегающих пространств.
О поведении большинства пестицидов в почве существуют только общие предположения (3, ст. 144-147). В отдельных случаях имеются и более полные сведения, известно, что хлорсодержащие соединения, особенно в анаэробных условиях, отщепляют атомы хлора при замещения их группами -ОН. При этом биологическая активность вещества значительно снижается. В аэробных условиях хлорсодержащие углеводороды обладают исключительной устойчивостью. В анаэробных условиях группы N02 восстанавливаются до NН2. Легко гидролизируются сложные эфиры фосфорной кислоты и метилкарбаматы.
Устойчивость отдельных представителей важнейших классов пестицидов в почвах может быть схематически охарактеризована следующим рядом уменьшения устойчивости: хлорсодержащие углеводороды - от 2 до 5 лет; производные мочевины, S-триазины - от 2 до 18 мес; карбаматы, сложные эфиры фосфорной кислоты - от 2 до 12 недель.
При определении пестицидов в почве возникают трудности, связанные с возможностью их взаимодействия с органическими комповдпаии почвы, особенно сложно определение ароматических аминов н фенолов, которые могут ковалентно связываться с гумином. Таким образом, пестициды могут сохраняться до разрушения самих гуминовых веществ. Биологическая активность пестицида при этом может вновь восстановиться.
Биотическое и абиотическое разложение пестицидов.
Попавшие в природную среду пестициды могут разрушаться как абиотическим, так и биотическим путем. В первом случае превращение осуществляется за счет фотохимических реакций, окислительно-восстановительных реакций и гидролиза. При биотических ( под действием ферментов) превращениях особое значение имеют реакции окисления, восстановления, гидролиза, разрыва углеродных цепей. В фотохимическом окислении особо важную роль играют реакции под действием обладающих большой энергией УФ-лучей. При поглощения веществом УФ-излучения часто происходят гомолитическое расщепление связи С-С1, которое сопровождается другими рекциями. Образующиеся при этом радикалы могут дальше взаимодействовать с галогенами, водой или другими донорами протонов, как это видно на примере ДДТ:
Эта реакция вблизи от земной поверхности протекает в незначительной степени, так как для ее осуществления требуется УФ-излучение с длиной волны больше 290 нм, а интенсивность этих лучей около поверхности Земли крайне невелика. При взаимодействии пестицидов, содержащих в своем составе ароматические компоненты, с соответствующими твердыми веществами, область поглощения УФ-лучей смещается в длинноволновую область (батохромный сдвиг), что обеспечивает достаточную интенсивность околоземного длинноволнового излучения.
Среди окислительно – восстановительных реакций большую роль играют реакции окисления, поскольку они катализуются ионами тяжелых металлов.
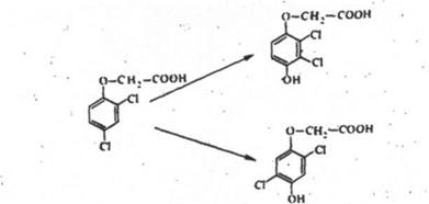
Биотические процессы распада протекают значительно быстрее, чем абиотические. Скорость распада зависит от концентрации ферментов, и от количества микроорганизмов, подлежащих обработке соответствующим пестицидом, как правило, процессы метаболизма в организмах теплокровных животных осуществляются быстрее, чем в организмах, не имеющих собственной системы терморегуляции. Большую роль в разрушении загрязняющих веществ имеют процессы окисления. Катализаторами этих процессов служат специфические смеси ферментов – оксигеназ и дегидроксигеназ. Возможно окисление спиртов в альдегиды и альдегидов в карбоновые кислоты. При окислении двойной связи —С = С— образуются эпоксиды. При гидролизе ароматических соединений возможно перемещение заместителей в ядре, как например, у 2,4-дихлорфеноксиуксусной кислоты (2,4-Д):
Среди реакций восстановления можно назвать превращение кетонов во вторичные спирты и нитросоединений в амины.
Среди процессов биотического распада особое значение имеют реакции окисления и восстановления, ведущие к образованию соединения с повышенной растворимостью в воде, например, соединения с гидроксильнымн группами. Эти метаболиты легко выводятся из многоклеточных организмов, в том числе н человека через специальные органы и выходят из обмена веществ организма. Таким образом возможно освобождение организма от ядовитых веществ, если даже сами метаболиты остаются токсичными.
Альтернативные методы борьбы с вредителями.
Современные пестициды, как было показано выше, имеют низкую токсичность. Выборочно действуют на насекомых – паразитов, но их использование всегда будет нести риск передозировки. Кроме того у вредителей очень быстро вырабатывается резистентность к действию пестицидов. Поэтому ученые обратили свое внимание на создание нетоксичных веществ и микроорганизмов доя борьбы с вредителями. Ведь биологические препараты для защиты растений от вредителей и болезней вызывают массовую гибель вредителей, подавляют развитие фитопатогенов, экологически безопасны, их использование является альтернативой химическим средствам защиты растений.
