Подготовка нефти к переработке
Извлеченная из скважин сырая нефть содержит попутные газы (50—100 м3/т), пластовую воду (200—300 кг/т) и растворенные в воде минеральные соли (10—15 кг/т), которые отрицательно сказываются на транспортировке, хранении и последующей переработке ее. Поэтому, подготовка нефти к переработке обязательно включает следующие операции:
— удаление попутных (растворенных в нефти) газов или стабилизация нефти;
— обессоливание нефти;
— обезвоживание (дегидратация) нефти.
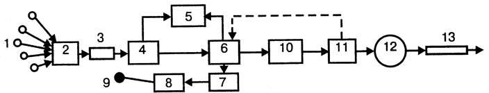
На крупных месторождениях нефти эти операции объединены в единую систему, включающую сбор, транспортировку и обработку нефти, газа и воды. На рис. 7.2 представлена подобная система.
Сырая нефть из скважин 1 под собственным давлением направляется к групповым замерным установкам (ГЗУ) 2, в которых нефтяной газ отделяется от жидкости и замеряются количества этих продуктов. Затем газ вновь смешивается с нефтью и водой и полученная смесь подается по коллектору (длиной до 8 км) 3 в дожимную насосную станцию 4, где газ отделяется от нефти. Газ поступает на газоперерабатывающий завод (ГПЗ) 5, а частично дегазированная нефть направляется на установку подготовки нефти (УПН) 6. На УПН проводятся операции окончательной дегазации, обессоливания и обезвоживания нефти. Газ далее направляется на ГПЗ, а вода — на установку очистки 7. Очищенная вода закачивается насосами 8 в нефтяной пласт через нагнетательные скважины 9. Обессоленная и обезвоженная нефть из УПН поступает в герметизированные резервуары 10, из которых насосами перекачивается в установку «Рубин» 11 для определения качества и количества нефти. При удовлетворительном результате нефть подается в товарные резервуары 12 и из них в магистральный нефтепровод 13, транспортирующий нефть на нефтеперерабатывающие заводы. При неудовлетворительном качестве подготовки нефти она возвращается из установки «Рубин» в УПН.
В настоящее время разрабатываются методы магистральной транспортировки газонасыщенных нефтей, то есть доставки потребителю нефти и газа по одному трубопроводу. Это позволяет уменьшить расход энергии на перекачку продукта за счет снижения его вязкости и более полно утилизировать попутные нефтяные газы.
Стабилизация нефти. Сырая нефть содержит значительное количество растворенных в ней легких углеводородов C1 — C4. При транспортировке и хранении нефти они могут выделяться, вследствие чего состав нефти будет меняться. Чтобы избежать потери газа и вместе с ним легких бензиновых фракций и предотвратить загрязнение атмосферы, эти продукты должны быть извлечены из нефти до ее переработки. Подобный процесс выделения легких углеводородов из нефти в виде попутного газа называется стабилизацией нефти. В зависимости от условий стабилизацию нефти осуществляют методом сепарации непосредственно в районе ее добычи на замерных установках, дожимных станциях и УПН (рис.1), или на газоперерабатывающих заводах (рис.1).
В первом случае попутный газ отделяют от нефти многоступенчатой сепарацией в сепараторах-газоотделителях (траппах), в которых последовательно снижаются давление и скорость потока нефти. В результате происходит десорбция газов, совместно с которыми удаляются и затем конденсируются летучие жидкие углеводороды, образуя «газовый конденсат». При сепарационном методе стабилизации в нефти остается до 2% углеводородов состава C1 — C4.
Обессоливание и обезвоживание нефти. Удаление из нефти солей и воды происходит на промысловых установках подготовки нефти и непосредственно на нефтеперерабатывающих заводах (НПЗ).
В обоих случаях процессы обессоливания и обезвоживания нефти связаны с необходимостью разрушения эмульсий, которые образует с нефтью вода. При этом, на промыслах разрушаются эмульсии естественного происхождения, образовавшиеся в процессе добычи нефти, а на заводе — искусственные эмульсии, полученные при многократной промывке нефти водой для удаления из нее солей. После обработки содержание воды и хлоридов металлов в нефти снижается на первой стадии до 0,5— 1,0% и 100—1800 мг/л соответственно, и на второй стадии до 0,05—0,1% и 3—5 мг/л.
Для разрушения нефтяных эмульсий используются механические (отстаивание), термические (нагревание), химические и электрические методы. При химическом методе обезвоживания нагретую нефтяную эмульсию обрабатывают деэмульгаторами. В качестве последних используются различные неиногенные ПАВ типа защитных коллоидов: оксиэтилированные
Рис.1. Схема сбора нефти, газа и воды на нефтяных промыслах:
1 — скважины; 2 — групповая замерная установка; 3 — коллектор; 4 — дожимная насосная станция; 5 — газоперерабатывающий завод; 6 — установка подготовки нефти; 7 — установка очистки воды; 8 — насосы; 9 — нагнетательные скважины; 10 — герметизированные резервуары, 11 — установка «Рубин»; 12 — товарные резервуары; 13 — магистральный нефтепровод.
жирные кислоты, метил- и карбоксиметилцеллюлоза, лигносульфоновые кислоты и др. Наиболее эффективное удаление солей и воды достигается при электротермохимическом методе обессоливания, в котором сочетаются термохимическое отстаивание и разрушение эмульсии в электрическом поле.
Установки электротермохимического удаления солей и воды или электрообессоливающие установки (ЭЛОУ) используются как на промыслах, так и на нефтеперегонных заводах. В этом методе разрушение нефтяной эмульсии происходит в аппаратах — электродегидрататорах под воздействием переменного тока напряжением 30—45 кВ, что вызывает передвижение и слипание капель воды, содержащих соли, и ее отделение от нефти. На рис.2 представлена принципиальная схема ЭЛОУ.
Нефть из сырьевого резервуара 1 с добавками деэмульгатора и слабого щелочного или содового раствора проходит через теплообменник 2, подогревается в подогревателе 3 и поступает в смеситель 4, в котором к нефти добавляется вода. Образовавшаяся эмульсия последовательно проходит электродегидрататоры 5 и 6, в которых от нефти отделяется основная масса воды и растворенных в ней солей, вследствие чего содержание их снижается в 8—10 раз. Обессоленная нефть проходит теплообменник 2 и после охлаждения в холодильнике 7 поступает в сборнике 8. Отделившаяся в электродегидрататорах вода отстаивается в нефтеотделителе 9 и направляется на очистку, а отделившаяся нефть присоединяется к нефти, подаваемой в ЭЛОУ.
Обессоливание и обезвоживание нефти увеличивает сроки межремонтной работы установок гонки нефти и снижает расход тепла, а также уменьшает расход реагентов и катализаторов в процессах вторичной переработки нефтепродуктов.
Рис.2. Принципиальная схема ЭЛОУ:
1 — резервуар нефти; 2 — теплообменник; 3 — подогреватель; 4 — смеситель; 5 — электродегидрататор I ступени; 6 — электродегидрататор II ступени; 7 — холодильник; 8 — сборник обессоленной нефти; 9 — нефтеотделитель.
