Процессы ассоциации и связывания противоионов
Капельная модель объясняет солюбилизирующую способность мицелл по отношению к широкому кругу неполярных и слабополярных веществ. В то же время локализация солюбилизата в мицелле сильно зависит от его природы. Молекулы насыщенного углеводорода равномерно распределяются внутри мицеллярного ядра, а молекулы ароматических веществ, в силу их некоторой поверхностной активности, как и длинноцепочечные спирты, преимущественно локализуются в поверхностной части мицеллы и ориентируются так же, как молекулы ПАВ, образующие мицеллу. На поверхности мицеллы находятся ассоциированные с ней противоионы в количестве 50-80% от ионов ПАВ и их количество мало зависит от условий. Простые неорганические противоионы очень слабо ассоциируются с мицеллой. Из-за их мобильности специфический комплекс с определенным расстоянием между полярной группой и противоионом не образуется. Противоины ассоциируются с мицеллой за счет дальнодействующих электростатических сил. Противоионы остаются в значительной степени гидратированными, особенно сильно склонность к сохранению гидратных оболочек выражена у катионов. Некоторая доля гидратационной воды обеспечивается ассоциированными противоионами; кроме того, полярные группы всегда сильно гидратированы. В то же время молекулы воды эффективно исключаются из мицеллярного ядра. Вследствие геометрических ограничений некоторая часть углеводородных цепей неизбежно будет находиться на поверхности мицеллы, но даже на небольшом расстоянии от этой поверхности вероятность нахождения молекул воды ничтожно мала. Размер мицелл, выраженный как радиус сферического агрегата, оценивают также с помощью методов светорассеяния и измерений коэффициентов самодиффузии. Не менее важной характеристикой мицеллы является мицеллярное число агрегации. Для его определения лучше всего подходит метод тушения флуоресценции. Например, число агрегации ДСН в мицеллах при 25 0C составляет 60-70. Число агрегации надежно определяется только для достаточно узкого распределения. Мицеллы с разными числами агрегации сосуществуют в равновесии друг с другом, но вероятность заметного отклонения числа агрегации от среднего значения чрезвычайно мала.
По этой причине модель, основанная на законе действующих масс, хорошо описывает мицеллярную систему.
Для этой модели с учетом основного соотношения между свободной энергией и константой равновесия К.
можно вывести приближенное выражение для мицеллообразования:
где AG0 - разность стандартной свободной энергии молекулы в мицелле и в некотором выбранном стандартном состоянии сравнения, что служит стартовой точкой для термодинамического описания мицеллообразования.
Геометрические принципы упаковки цепей
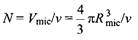
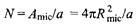
Число агрегации может быть выражено как отношение объема ядра мицеллы Fmic к объему одной цепи н:
где Rmk - радиус мицеллы. Число агрегации можно выразить и другим способом - как отношение мицеллярной площади Ат\с к площади поперечного сечения а одной молекулы ПАВ:
Приравнивая эти два выражения, получим:
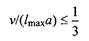
Учитывая, что радиус мицеллы Rm\c не может быть больше длины вытянутой алкильной цепи молекулы ПАВ, равной Zmax, для сферической мицеллы находим:
и
Отношение v/ является геометрической характеристикой молекулы ПАВ; этот параметр чрезвычайно полезен при обсуждении типа структуры, которую образует данное дифильное вещество; он называется критическим параметром упаковки или числом ПАВ.
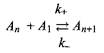
Кинетика мицеллообразования мицеллы образуются в ступенчатых процессах, поэтому элементарную стадию мицеллообразования можно представить как равновесие между молекулой и мицеллярным агрегатом
где константа скорости прямой реакции лимитируется диффузией и практически не зависит ни от размера молекул ПАВ, ни от размера мицеллы.
Константа скорости обратного процесса L·, наоборот, сильно зависит от длины алкильной цепи, размера мицеллы и т.д. Вследствие кооперативности мицеллообразования на кривой распределения по размерам имеется глубокий минимум. В результате восстановление равновесия после отклонения от него осуществляется в два этапа. В быстром процессе достигается квазиравновесие при ограничении постоянного общего числа мицелл. В быстром процессе происходит перераспределение молекул ПАВ между имеющимися мицеллами. Для достижения истинного равновесия число мицелл должно изменяться. Вследствие ступенчатости процесса в него вовлекаются также промежуточные мицеллы, концентрация которых очень мала, поэтому данный процесс - медленный.
Из кинетических измерений быстрого процесса определяются два времени релаксации, характеризующие молекулярные процессы в мицеллярных растворах: фй характеризует скорость, с которой молекулы ПАВ обмениваются между мицеллами, в то время как Т2 характеризует скорость, с которой мицеллы образуются и распадаются. Примеры времен релаксации приведены в табл.2.6 Заметим, что фй имеет порядок 10 мкс для додецилсульфата натрия, а Т2 - больше миллисекунды. Оба релаксационных процесса заметно замедляются при возрастании длины алкильной цепи молекул ПАВ.
Поскольку медленный релаксационный процесс определяется распределением мицелл по размерам, кинетические измерения можно использовать для определения стандартного отклонения распределения. Распределение по размерам становится относительно узким с увеличением длины алкильной цепи.
Кинетические параметры ассоциации алкилсульфатов в мицеллы и диссоциации их мицелл:
Времена релаксации ф й и ф2 для некоторых алкил сульфатов натрия
Агрегирование поверхностно-активных веществ в неводных средах
Полярные растворители
В сильнополярных растворителях мицеллообразование качественно происходит таким же образом, как в воде. Из рис. видно, что KKM в формамиде намного выше, чем в воде: 100 мм и 1 мм соответственно. Эта характерная особенность проявляется также в уменьшении радиусов мицелл и чисел агрегации, что позволяет считать мицеллообразование в альтернативных воде полярных средах менее кооперативным процессом. Как следствие, связывание противоионов мицеллами также уменьшается.
Неполярные растворители
Для простых ПАВ ассоциация в неполярных средах характеризуется низкой кооперативностью и приводит к образованию небольших и полидисперсных агрегатов. Однако введение в систему совсем небольших количеств воды может индуцировать кооперативную самоассоциацию с образованием обращенных мицелл.
