Разнообразие систем, формируемых дифильными веществами
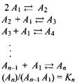
В реальности мицеллы не монодисперсны, поскольку всегда есть некоторое распределение по числам агрегации и мицеллы образуются постепенно, что учитывает следующая модель мицеллообразования.
4.2 Модель множественных равновесий
Данные равновесия описывают поведение неионных ПАВ. Чтобы учесть ассоциацию противоионов с мицеллами, необходимо записать равновесия для противоинов. Вообще говоря, это не совсем правильный подход, поскольку оперирование константами равновесия подразумевает взаимодействия на малых расстояниях с образованием определенных комплексов. Распределение противоионов контролируется электростатическими взаимодействиями, действующими на больших расстояниях. Именно поэтому невозможно приписать определенные характеристики противоионам, связанным с мицеллами. В то же время это не означает, что связывание противоионов или их ассоциация с мицеллой теряет физический смысл. Таким образом, необходимо представлять ограничения соответствующих моделей при анализе данных.
