Рекристаллизационные явления в высокомолекулярных соединениях и их роль в динамике плавления
Из изложенного выше вытекает, что при нагревании полимера должны получиться термограммы двоякого типа. Если скорость кристаллизации полимера достаточно велика, так что Vp сопоставима или больше скорости повышения температуры, то между температурой кристаллизации и пиком плавления на термограмме появится температурный интервал — предпиковая область. Она будет тем больше, чем выше скорость рекристаллизации. В случае медленно кристаллизующихся полимеров, когда VP<Vн, предпиковой области не будет. Своеобразную картину изменения температуры плавления в зависимости от изменения скорости повышения температуры можно получить, если скорость рекристаллизации полимера находится в диапазоне скоростей нагревания, используемых в термическом анализе. Такой случай приведен на рис. 2. При VH=0,31, 0,62 и 1,25 град/мин Vp полихлоропрена оказывается выше скорости повышения температуры, и на термограмме появляется предпиковый интервал. При VH =2,5 град/мин, наоборот, оказывается Vр<Vн и плавление начинается сразу после кристаллизации. Небольшой подъем Tплн при увеличении скорости нагревания обусловлен перегревом образца. Исследование при VH=0,62 град/мин дает картину (рис. 1,6), свидетельствующую о том, что рекристаллизация начинается сразу после кристаллизации, как и при скоростях нагревания, когда предпиковая область не появляется (рис. 1, а).
На рис. 3 для VH=0,62 град/мин сопоставлены интенсивность рекристаллизации и вид термограммы в интервале от температуры кристаллизации до полного окончания плавления. Видно, что в предпиковой области
Рис. 4. Понижение начала температуры плавления при увеличении Ун для ПЭТФ, ГКр=187° {1) и полибутадиена СКД с содержанием 90% цис-1,4-звеньев, 7,кр=-55° (2)
Рис. 5. Зависимость формы пика плавления от температуры кристаллизации для полибутадиена СКД F„=20 град/мин. Значения Ткр -50 (1), -60 (2), -70 , -80 (4) и -90° (5)
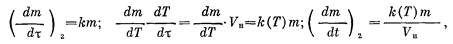
интенсивность рекристаллизации вначале повышается, достигает максимума и по мере удаления от оптимальной температуры рекристаллизации начинает понижаться. При температуре 17° соотношение Vр/Vн уменьшается настолько, что не вся расплавляющаяся фаза успевает рекристаллизоваться, и на термограмме появляется пик плавления. При этом равновесие нарушается в пользу эндотермического процесса, что вновь приводит к увеличению вышеуказанного соотношения, следовательно, и интенсивности рекристаллизации. Эта величина, достигнув некоторого максимума, снова начинает уменьшаться по мере повышения температуры и уменьшения константы кристаллизации. Как видно из рис. 3, любые изменения интенсивности рекристаллизации приводят к определенному изменению пика плавления. Заметим, что некоторую (небольшую [14]) долю усовершенствования кристаллитов при нагревании составляет реорганизация. В данной работе она отдельно не рассматривается. Кинетика рекристаллизации обусловливается скоростью нагревания, зависимостью константы скорости кристаллизации от температуры и описанным выше механизмом процесса. Изменение аморфной части при повышении температуры dm/dT определяется частичным плавлением (dm/dT)i и рекристаллизацией (dm/dT) 2
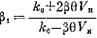
Определим, от каких факторов зависит начало пика плавления для полимеров с предпиковой областью. Количество рекристаллизующейся фазы пропорционально расплавившейся и способной к кристаллизации части полимера
где к — константа кристаллизации при рекристаллизации для рассматриваемой температуры, τ — время.
Примем за начало отсчета температуру оптимальной кристаллизации Ткроп и будем считать
. Из эксперимента следует, что в интересующей нас области температур m (θ) и k(θ) с достаточной точностью аппроксимируются уравнениями
где α, β, к0, m0— константы, причем к0 и пг0 относятся к оптимальной температуре кристаллизации, т0 соответствует также рассматриваемой скорости нагревания.
Начало пика плавления по температуре практически совпадает с началом перегиба Тп на кривых ДТА и динамической калориметрии (из-за замедления подъема температуры в образце, обусловленного плавлением).
Учитывая, что для Тп имеет место равенство
окончательно находим
где
|
; Та — масса расплавившейся фазы при Тп.
Рассмотрим, как должна изменяться кривая ДТА или динамической калориметрии после начала пика плавления. По мере замедления скорости роста температуры в образце, обусловленного эндотермическим характером процесса, количество рекристаллизующейся массы растет. Поскольку скорость роста пропорциональна массе, способной к кристаллизации аморфной фазы, а количество такого «сырья» по мере протекания процесса накапливается, то в общем случае скорость кристаллизации может равняться, а далее и превосходить скорость плавления (dm/dT)2>(dm/dT)i. Следовательно, на термограмме должен появиться максимум. В дальнейшем, однако, в связи с увеличением скорости подъема температуры в образце и уменьшением константы скорости кристаллизации скорость плавления вновь будет превосходить скорость кристаллизации. На кривой записи пика плавления должен появиться минимум, а весь пик будет иметь форму дублета. Если Ткр была ниже оптимальной, то в начале нагревания должен появиться еще один пик.
Температуру минимума и первого максимума можно определить на основе расчетов, аналогичных вышеприведенным, исходя из условий
Тогда
![]()
![]()
где
— константы скорости
кристаллизации при рекристаллизации в начале плавления Тплн и при температуре первого пика Тмакс соответственно; γ — коэффициент аппроксимации на кривой изменения скорости нагревания в образце с момента начала пика плавления;
где Тмакс, Ткшп — количество расплавившейся массы при Тткс и Тмин (температура минимума).
Приведенные формулы по заданным значениям к(Т), Гкр, m, Vн позволяют рассчитать температуру начала и экстремальные точки пика и тем самым теоретически получить кривую плавления, причем видно, что с увеличением скорости нагревания Тплн не увеличивается, как обычно полагают, а уменьшается. Температура первой вершины дублетного пика плавления с ростом Vн сдвигается в область более высоких температур. Чем, больше количество расплавившейся массы, т. е. чем ниже была Tкр, тем ближе эта вершина к началу пика. Ясно также, что в двух случаях — при низких и при высоких Ткр — должны получаться одинарные пики.
