Свойства адамантана
Содержание
1. Общие сведения
2. Номенклатура
3. Получение
3.1 Из природных источников
3.2 Синтетические методы
4. Физические свойства
4.1 Индивидуальное вещество
4.2 Структурные свойства
4.3 Спектральные свойства
5. Химические свойства
5.1 Адамантильные катионы
5.2 Реакции по узловым положениям
5.2.1 Бромирование
5.2.2 Алкилирование
5.2.3 Фторирование
5.2.4 Карбоксилирование
5.2.5 Гидроксилирование
5.2.6 Нитрование
5.3 Реакции по мостиковым положениям
6. Применение
7. Экспериментальная часть
Литература
адамантан углеводород синтез узловой мостиковый
1. Общие сведения
Адамантан – это химическое соединение, насыщенный трициклический мостиковый углеводород с формулой C10H16. Молекула адамантана состоит из трёх циклогексановых фрагментов, находящихся в конформации "кресло". Пространственное расположение атомов углерода в молекуле адамантана повторяет расположение атомов в кристаллической решётке алмаза. Свое название адамантан получил от ἀδάμας ("непобедимый" - греческое название алмаза).
2. Номенклатура
Согласно правилам систематической номенклатуры, адамантан следует называть трицикло[3,3,1,13,7]декан. Однако ИЮПАК рекомендует использовать название "адамантан" как более предпочтительное. Молекула адамантана обладает высокой симметрией. Вследствие этого 16 атомов водорода и 10 атомов углерода, образующие её, могут быть отнесены всего к двум типам.
Положения типа 1 называются узловыми, а положения типа 2 — мостиковыми. В молекуле адамантана насчитывается четыре узловых и шесть мостиковых положений.
Обычно используют такие изображения структурной формулы молекулы адамантана:
Таким образом, узловые атомы углерода – 1,3,5,7, а мостиковые – 2,4,6,8,9,10.
В дизамещенных производных адамантана с одним мостиковым заместителем пространственная ориентация мостикового заместителя может быть аксиальной (а) или экваториальной (е) в зависимости от расположения заместителя по отношению к плоскости общего для обоих заместителей циклогексанового кольца или ее можно обозначить как цис- и транс- :
1. В случае отсутствия узловых заместителей нумерацию атомов углерода проводят с учетом предпочтительности заместителя таким образом, чтобы более предпочтительный мостиковый заместитель имел меньший номер, а сумма номеров углеродных атомов была минимальной. При обозначении алкиладамантанов меньший номер получает более простой заместитель.
2. При наличии одного узлового заместителя ему придается номер 1, нумерация других атомов углерода ядра при этом производится с соблюдением положений пункта 1.
3. При наличии нескольких узловых алкильных заместителей номер 1 получает узловой заместитель, более предпочтительный согласно правилам ИЮПАК.
4. Атомы углерода, получившие, согласно приведенным выше правилам, номера 1-9, составляют рациональный фрагмент бицикло[3,3,1]нонана данного производного адамантана, при этом положения мостиковых заместителей углеродных атомов 2,4,6 и 8 определяются как экзо- или эндо- в зависимости от того, направлен ли заместитель соответственно вверх или вниз по отношению к плоскости рационального фрагмента бицикло[3,3,1]нонана, у атома 10 – как цис- или транс- по отношению к атому 1, а у 9 – как син- или анти- в зависимости от того, направлен ли он вправо или влево относительно заместителя 1.
3. Получение
3.1 Из природных источников
В настоящее время единственным природным продуктом, содержащим адамантан и его гомологи, является нефть. Содержание этого углеводорода в нефти составляет всего 0,0001—0,03 % (в зависимости от месторождения), вследствие чего такой способ получения адамантана является экономически невыгодным. Помимо самого адамантана, в нефти присутствуют его многочисленные производные. Таких соединений известно более тридцати. Методы идентификации адамантана в нефтях и его выделения основаны на его необычных для углеводородов данной молекулярной массы свойствах: высокая температура плавления, летучесть, малая растворимость, а также способность образовывать устойчивые аддукты с тиокарбамидом.
Выделение адамантана из нефти, не имеющей бензиновых фракций, осуществляется путем однократной обработки тиокарбамидом дистиллатов, отогнанных из нефти с водяным паром. При охлаждении полученного тиокарбамидного экстракта до –50°С адамантан выкристаллизовывается и легко отделяется фильтрованием. Та получают около 75% адамантана, присутствующего в нефти.
Если в нефти имеются легкие фракции и содержание адамантана небольшое, то обработку дистиллата тиокарбамидом повторяют, используя небольшое его количество, и получают высокоселективные экстракты. Дальнейшее количественное выделение адамантана может быть осуществлено также методами препаративной ГЖХ. Для выделения адамантана из нефти может быть также использован метод азеотропной перегонки циклопарафинового концентрата с три(лерфторбутил)амином.
Выделение адамантана из парафиновых нефтей требует более эффективных методов его концентрирования, таких, как термодиффузия и препаративная ГЖХ. Как показали исследования, наилучшие результаты при выделении адамантана дает метод, сочетающий перегонку дистиллата (с перегретым водяным паром) с последующим выделением путем препаративной ГЖХ.
3.2 Синтетические методы
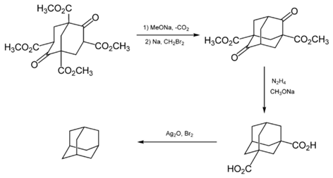
Первый успешный синтез адамантана из эфира Меервейна был осуществлён В. Прелогом в 1941 году. Синтез включал несколько стадий, а выход адамантана не превышал одного процента.
Этот метод уже не используется для синтеза адамантана в связи с высокой трудоёмкостью и низким выходом конечного продукта. Однако он имеет некоторую ценность в плане получения различных производных адамантана, в частности 1,3-адамантандикарбоновой кислоты.
Для получения этого углеводорода в лабораторных условиях в настоящее время используют метод Шлейера. Димер циклопентадиена (который является вполне доступным соединением) подвергается каталитическому гидрированию, после чего изомеризуется в адамантан в присутствии катализатора — кислоты Льюиса. Методика, описанная в Organic Syntheses, предусматривает использования оксида платины в качестве катализатора гидрирования, а также хлорида алюминия в качестве катализатора изомеризации. При этом выход составляет 13—15 %.
Адамантан является вполне доступным химическим соединением. Стоимость одного грамма у различных фирм-производителей не превышает одного доллара США.
4. Физические свойства
