Силикагель и его применение в высокоэффективной жидкостной хроматографии
- коэффициент разделения соответствующих пиков должен быть не менее требуемого значения;
- относительное стандартное отклонение, рассчитанное для высоты или площади соответствующего пика, должно быть не более требуемого значения;
- коэффициент симметрии соответствующего пика должен быть в требуемых пределах.
2.3 Аппаратурное оформление эксперимента
В современной жидкостной хроматографии используют приборы различной степени сложности - от наиболее простых систем, до хроматографов высокого класса, снабженных различными дополнительными устройствами.
На рис. 2.4 представлена блок-схема жидкостного хроматографа, содержащая минимально необходимый набор составных частей, в том или ином виде присутствующих в любой хроматографической системе.
Рисунок 2.4. Блок-схема жидкостного хроматографа: 1 - сосуд для подвижной фазы; 2 - насос; 3 - инжектор; 4 - колонка; 5 - термостат; 6 - детектор; 7 - регистрирующая система
В качестве сосудов для подвижной фазы (1) чаще всего используют стеклянные бутылки вместимостью 0,7-1 л. Большое значение имеет тщательная дегазация подвижной фазы. Предпочтительнее выполнять эту операцию непосредственно в рассматриваемом сосуде, чтобы исключить переливание растворителя.
Современные насосы (2) для жидкостной хроматографии представляют собой прецизионные устройства, обеспечивающие постоянную подачу растворителя в колонку и способные создавать давления до нескольких десятков МПа. Конструкция насоса определяется, прежде всего, рабочим давлением в системе.
Инжекторы (3) обеспечивают ввод проб от 0,1 мкл до нескольких миллилитров с высокой воспроизводимостью при давлениях до 30-50 МПа. Инжекторы должны работать при повышенных температурах и в среде активных растворителей и реагентов.
Колонки (4) для ВЭЖХ представляют собой толстостенные трубки из нержавеющей стали длиной 10, 15, 25 см с внутренним диаметром 4-5,5 мм, способные выдержать высокое давление. Большую роль играет плотность и равномерность набивки колонки сорбентом. Постоянство температуры обеспечивается термостатом.
Повышение температуры разделения улучшает эффективность колонок в ОФ ВЭЖХ. Стабилизация температуры также повышает точность количественных определений, поэтому использование термостатов (5) весьма желательно, а иногда обязательно. В ВЭЖХ чаще всего применяют воздушные термостаты с интенсивным перемешиванием воздуха, в которых расположены теплообменник для подогрева растворителя, дозатор и колонки.
Детекторы (6) для жидкостной хроматографии имеют проточную кювету, в которой происходит непрерывное измерение какого-либо свойства протекающего элюента. Наиболее популярными типами детекторов общего назначения являются дифференциальные рефрактометры, измеряющие показатель преломления системы проба-элюент, и спектрофотометрические детекторы, определяющие оптическую плотность растворителя на фиксированной длине волны (как правило, в ультрафиолетовой области - УФ-детекторы).
Регистрирующая система (7) в простейшем случае состоит из дифференциального усилителя и самописца. В сложных хроматографических системах используется блок интерфейса, соединяющий хроматограф с персональным компьютером, который осуществляет не только сбор и обработку информации, но и управляет прибором.
2.4 Методика проведения эксперимента
В экспериментальной части курсовой работы была поставлена задача подобрать опытным путем хроматографическую колонку на основе химически модифицированного силикагеля для методики количественного определения эналаприла малеата, а также сравнить эффективность хроматографического разделения в зависимости от используемого сорбента.
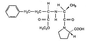
Структурная формула эналаприла приведена на рис. 2.5 [20].
Рисунок 2.5. Структурная формула эналаприла
Субстанция эналаприла малеата представляет собой белый кристаллический порошок, плохо растворимый в воде, растворимый в этаноле и метаноле. Эналаприла малеат является биологически активным веществом, применяемым в качестве лекарственного средства для лечения артериальных гипертензий и застойной сердечной недостаточности, а также в комплексной терапии инфаркта миокарда.
Оборудование:
- весы аналитические электронные Mettler Toledo AG204;
- ультразвуковой очиститель Elma T710DH;
- жидкостной хроматограф Agilent 1100, соединенный с персональным компьютером.
Материалы:
- колонка размером 4,6х250 мм, заполненная силикагелем цианосилильным для хроматографии [19], с размером частиц 5 мкм Waters RP-CN;
- колонка размером 4,6х250 мм, заполненная силикагелем цианосилильным для хроматографии [19], с размером частиц 5 мкм Zorbax XDB-CN;
- колонка размером 4,6х250 мм, заполненная силикагелем октадецилсилильным для хроматографии [19], с размером частиц 5 мкм Waters Symmetry C18;
- колонка размером 4,6х250 мм, заполненная силикагелем октасилильным для хроматографии [19], с размером частиц 5 мкм Waters Symmetry C8;
- колонка размером 4,6х250 мм, заполненная силикагелем октасилильным для хроматографии [19], с размером частиц 5 мкм Zorbax SB C8;
- колонка размером 4,6х250 мм, заполненная силикагелем октадецилсилильным для хроматографии [19], с размером частиц 5 мкм Zorbax SB C18;
- колонка размером 4,6х150 мм, заполненная циркония оксидом для хроматографии [19], с размером частиц 5 мкм Discovery ZR-РBD;
- мерная колба вместимостью 25 мл;
- микропипетка автоматическая 100–250 мкл.
Реактивы:
- ацетонитрил для хроматографии CH3CN [19];
- вода для хроматографии [19];
- дикалия гидрофосфат K2HPO4 [19];
- кислота фосфорная концентрированная H3PO4 [19];
- субстанция эналаприла малеата C20H28N2O5·C4H4O4.
Методика [21]:
Испытуемый раствор. Близко 100 мг (точная навеска) субстанции эналаприла малеата помещают в мерную колбу вместимостью 25 мл, растворяют в 20 мл воды для хроматографии, доводят объем раствора водой для хроматографии до метки и перемешивают. 2,5 мл полученного раствора помещают в мерную колбу вместимостью 50 мл, доводят объем раствора подвижной фазой до метки и перемешивают. Срок годности раствора – 1 сутки.
Буферный раствор. 1,74 г. дикалия гидрофосфата растворяют в 800 мл воды, доводят рН до значения 2,0±0,1 [19] кислотой фосфорной, доводят объем водой для хроматографии до 1000,0 мл и перемешивают.
Хроматографируют 10 мкл раствора сравнения на жидкостном хроматографе с УФ-детектором при таких условиях:
- подвижная фаза – буферный раствор – ацетонитрил для хроматографии (75:25), дегазированная на ультразвуковом очистителе;
- скорость подвижной фазы 1,5 мл/мин;
- детектирование при длине волны 215 нм;
- температура колонки 60оС.
Хроматографическая система считается пригодной, если:
- число теоретических тарелок, рассчитанное по пику эналаприла, не менее 6000;
- коэффициент симметрии пика эналаприла не более 1,7.
