Синтез и свойства адипиновой кислоты
Алкильные производные янтарной кислоты можно получать алкилированием дианиона, в свою очередь полученного из моноэтилсукцината; алкилирование протекает региоспецифично {схема (28)} по соседнему со сложноэфирной группой углеродному атому. Другие а-алкильные производные адипиновой и пимелиновой кислот можно получать более сложной последовательностью реакций {схема (29)}, так как в этом случае анионы легко вступают в циклизацию по Дикману.
Реакции, аналогичные схеме (28), могут использоваться для синтеза сложных эфиров ненасыщенных дикарбоновых кислот. Например, в результате реакции монолитиевого производного ди-трет-бутилглутарата с различными кетонами с прекрасными выходами получаются сложные эфиры гидроксидикарбоновых кислот (13).
Гидролиз сложных эфиров (13) с одновременной дегидратацией приводит к ненасыщенным производным глутаровой кислоты, если заместители R1 или R2 не ароматической природы {схема (30)}. Однако если один из этих заместителей ароматический, то гидролиз сопровождается не только дегидратацией, но и декарбоксилированием и приводит к ненасыщенным монокарбоновым кислотам.
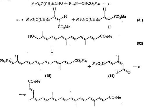
Реакция Виттига — важнейший общий метод региоспецифичного синтеза сложных эфиров α,β -ненасыщенных и полиеновых дикарбоновых кислот. В типичном синтезе {схема (31)} [36], как и во многих подобных случаях, продукт реакции является смесью цис- и транс-изомеров, которые в данном конкретном случае можно разделить дробной кристаллизацией. Особенно широко реакция Виттига применяется в синтезе каротиноидов; в некоторых случаях в этих синтезах используются производные ненасыщенных дикарбоновых кислот. В качестве типичного примера приведем синтез природного биксина {схема (32)}: ключевой интермедиат 5-метоксикарбонил-3-метилпента-цис-2-гранс-4-диеналь (14), как показано на схеме, конденсируется с илидом (15) в стандартных условиях реакции Виттига.
2.3. Реакции Михаэля
Реакция Михаэля используется для получения различных ди- и поликарбоновых кислот. В этом разделе мы рассмотрим несколько типичных примеров этой реакции. Малонат-анион присоединяется к сложным эфирам и нитрилам α,β-ненасыщенных кислот с образованием продуктов, дающих при гидролизе производные глутаровой кислоты {схемы (33)—(36)}.
Глутаровые кислоты можно также получить присоединением дианионов карбоновых кислот к α,β-ненасыщенным сложным эфирам {схема (37)}. Дианион изомасляной кислоты получают в тетрагидрофуране при 0°С с использованием двух эквивалентов основания; вслед за присоединением по Михаэлю следует триметилсилилирование продукта.
Полный синтез фунгицида (±)-авенациолида включал в качестве ключевой стадии получение замещенного бислактона (16) в результате сходного с реакцией Михаэля процесса {схема (38)}. На последних стадиях этого синтеза нужная двойная связь вводилась пиролизом сульфоксида в присутствии янтарного ангидрида.
2.4. Окислительные методы
Многие важные пути, ведущие к ди- и поликарбоновым кислотам, включают окисление; некоторые методы нашли практическое применение. Для удобства мы рассмотрим отдельно окисление ароматических и алифатических субстратов.
(1) Получение ароматических кислот
Для получения ароматических ди- и поликарбоновых кислот широко используют окисление боковых цепей различных ароматических соединений. Алкилбензолы, такие как изомерные ксилолы, легко окисляются в соответствующие карбоновые кислоты в жестких условиях. Примеры на схемах (39) —(45) иллюстрируют набор окислительных агентов, которые можно использовать для этой цели.
Окисление фенантрахшюна {схема (46)} служит удобным методом синтеза как бифенил-2,2'-дикарбоновой кислоты так и ее диметилового эфира. Окисление различных ацилгалогенаценафтенов приводит к соответствующим нафталиновым аи гидридам, хотя существуют заметные различия в легкости образования ангидридов {схема (47)}.
(2) Получение алифатических кислот
В синтезе дикарбоновых кислот этим путем можно выделить два окислительных процесса: первый включает окислительную димеризацию, второй — расщепление углерод-углеродной связи, часто в циклических соединениях {схема (47)}. Сложные эфиры янтарной кислоты можно получать окислительной димеризацией енолят-анионов в присутствии солей меди (II). Метод, использующий литиевые еноляты, {схема (48)} проще и, по-видимому, носит более общий характер, чем альтернативная методика с применением цинкорганических соединений {схема (49)}. Обе реакции напоминают давно известные методы димеризации стабильных анионов, например анионов диэтилмалоната с использованием йода в качестве окислителя {схема (50)}.
Ацетиленовые кислоты и их эфиры с высоким выходом подвергаются окислительной димеризации в водном этаноле под действием кислорода или воздуха в присутствии хлорида аммония или меди. Эта реакция использована в синтезе кортикроцина контроль за реакцией, которая шла в этом случае с почти количественным выходом при комнатной температуре, осуществлялся по поглощению кислорода {схема (51)}.
Олефины можно окислять до дикарбоновых кислот {схема (52)} различными способами, и если бы не возникали проблемы, связанные с растворимостью в органических растворителях, наиболее удобным для этой цели был бы перманганат калия. Эти затруднения до некоторой степени преодолимы [49], если использовать в качестве растворителя уксусный ангидрид. Однако в этом случае выходы снижаются, и как показано на примере окисления по схеме (53), могут протекать побочные реакции.
Использование краун-эфиров позволяет снять большинство проблем [50], ибо эти соединения способны образовывать комплексы с солями металлов, что приводит к повышению растворимости в органической среде и повышению реакционной способности анионов. Например, дпцн;слогексил-18-краун-6 образует с перманганатом калия растворимый в бензоле комплекс (17), что дает прекрасный окислитель для органических субстратов. В частности, циклогексен окисляется им с количественным выходом до адипиновой кислоты {схема (54)}. По-видимому, нет оснований предполагать, что механизм этого окисления отличается до такового, действующего в водных средах {схемы (55), (56)}.
