Синтез изоамилового эфира уксусной кислоты реакцией этерификации (гидролиза) сложных эфиров
Выход около 30 г (70% теоретического). Чистый уксусноизоамиловый эфир имеет т. кип. 142°С,
.
Способ 2 (исходя из уксуснокислого натрия)
Реактивы:
Изоамиловый спирт .25 г (0,28 г-мол)
Уксуснокислый натрий безводный .25 г (0,30 г-мол)
Серная кислота (d 1,84) Сода 10%-ный раствор. Хлористый кальций.
1 — баня; 2 — реакционная колба; 3 — термометр; 4 — капельная воронка; 5—холодильник; 6 — алонж; 7 — приемник.
Синтез проводят в приборе, изображенном на рис. 41. В колбу Вюрца емкостью 150 мл, снабженную капельной воронкой и соединенную с нисходящим холодильником, помещают 25 г растертого в порошок безводного уксуснокислого натрия (примечание 1). Из капельной воронки понемногу приливают смесь из 25 г изоамилового спирта и 25 г (13,5 мл) концентрированной серной кислоты (примечание 2). При этом колбу непрерывно нагревают на масляной бане при 150°С (термометр опущен в баню). По окончании реакции и прекращении отгонки дистиллята верхний слой (смесь уксусноизоамилового эфира и изоамилового спирта) отделяют в делительной воронке, промывают раствором соды, затем два раза водой, высушивают хлористым кальцием и перегоняют из колбы с дефлегматором, отбирая фракции: 1) до 138°С, 2) 138—142°С. 2-я Фракция представляет собой уксусноизоамиловый эфир. Выход 24 г (67% теоретического). Чистый уксусноизоамиловый эфир имеет т. кип. 142°С,
.
ПРИМЕЧАНИЯ.
1. Для получения безводного уксуснокислого натрия нагревают 50 г кристаллической соли в плоской железной чашке. Сначала соль плавится в кристаллизационной воде, а после испарения воды затвердевает. При дальнейшем нагревании безводную соль расплавляют, несколько охлаждают, вынимают из чашки затвердевшую и еще теплую соль, растирают ее в порошок и ссыпают в склянку с притертой пробкой. Если имеется продажная безводная соль, то ее переплавляют еще раз.
2. При смешении изоамилового спирта с серной кислотой образуется изоамилсерная кислота; серную кислоту приливают постепенно к спирту при размешивании.
2. Литературный обзор.
2.1. Реакция этерификации и гидролиз сложных эфиров
Реакцией этерификации называется взаимодействие спиртов с карбоновыми кислотами, приводящее к образованию сложных эфиров:
В этой реакции молекула спирта выступает в роли нуклеофильного агента, атакующего бедный электронами углеродный атом карбонильной группы.
Реакции этерификации обратимы и, следовательно, ограничены состоянием равновесия. Превращение эквимолекулярных количеств кислоты и спирта в теоретически вычисленное количество сложного эфира по причине обратимости реакции невозможно. В результате реакции образуется некоторое максимальное количество эфира (которое всегда ниже теоретического) и остаются непрореагировавшие спирт и кислота. Например, при нагревании с обратным холодильником эквимолекулярных количеств уксусной кислоты и этилового спирта в реакцию вступает лишь 2/3 г-мол каждого компонента, поэтому максимальный выход эфира в этих условиях составляет лишь 2/3 теоретического, т. е. 66,7%.
По мере того как кислота и спирт реагируют друг с другом и происходит накопление продуктов их взаимодействия (эфира и воды), скорость обратной реакции, вначале незначительная, возрастает. При этом скорость прямой реакции постепенно уменьшается. Наконец, наступает динамическое равновесие, когда в единицу времени в сложный эфир превращается столько же молекул кислоты и спирта, сколько молекул сложного эфира распадается на кислоту и спирт. Одинаковой скоростью этих противоположно протекающих процессов обусловлен постоянный состав системы. Поскольку скорость бимолекулярной реакции пропорциональна произведению концентраций реагирующих веществ, мы можем для скоростей прямой и обратной реакций написать уравнения:
где v1 — скорость реакции этерификации; v2 — скорость реакции гидролиза; К1 и К2 — константы скорости обеих реакций; Ск, Сс, Сэ и Св — концентрации реагирующих и получающихся веществ (кислоты, спирта, эфира, воды).
В состоянии равновесия скорости реакций, протекающих в противоположных направлениях, равны, т. е. V1 = V2. Тогда К1СкСс = КгСэСв или:
Частное К2/К1 является константой равновесия и обозначается буквой К.
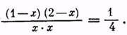
Из полученного уравнения следует, что в состоянии равновесия отношение произведений концентраций реагирующих веществ обратно отношению констант скоростей реакций. В случае реакции образования уксусноэтилового эфира в состоянии равновесия, как упомянуто выше, в реакционной смеси содержится по 1/3 моля кислоты и спирта и по 2/3 моля эфира и воды. Поэтому
Однако можно изменить состояние равновесия и повысить выход сложного эфира, увеличивая концентрацию спирта (или кислоты). Например, если взять уксусную кислоту и спирт в молярном отношении, равном 1:2, выход эфира (из расчета на кислоту) повышается до 85%. Действительно, пусть концентрация эфира в состоянии равновесия (в молях) будет равна х, т. е. Сэ = х. Тогда и Св = х. Концентрация кислоты Ск = 1—х, концентрация спирта Сс = 2 — х. Следовательно,
После решения этого уравнения находим, что х = 0,85 моля, то есть выход эфира равен 85% теоретического.
Часто применяется и другой способ смещения равновесия в сторону большего выхода сложного эфира — удаление сложного эфира или воды из сферы реакции. Легко можно видеть, что уменьшение концентраций эфира или воды влечет уменьшение концентраций спирта и кислоты, поскольку величина константы равновесия К при данной температуре неизменна. Так, в случае получения низкокипящих сложных эфиров (например, уксусно-этилового с температурой кипения 77°С) в ходе реакции отгоняют эфир из реакционной колбы. При получении высококипящих сложных эфиров (например, уксуснобутилового с температурой кипения 125°С или уксусноизоамилового с температурой кипения 142°С) удобнее отгонять воду в процессе реакции. Вода в этом случае отгоняется в виде азеотропа с парами соответствующего спирта. При конденсации паров в холодильнике происходит расслоение этих ограниченно смешивающихся жидкостей и вода, как более тяжелая, собирается на дне поставленной на пути конденсата «ловушки» (см. рис. 27). Азеотропную отгонку воды можно использовать и в случае этерификации кислот этиловым или пропиловым спиртом, которые в жидкой фазе смешиваются с водой во всех отношениях. В этом случае для отделения воды от сконденсировавшегося в холодильнике спирта в реакционную смесь приходится добавлять третий компонент, образующий с водой и спиртом нераздельно кипящую смесь, но в жидкой фазе с водой не смешивающийся. Его роль состоит в том, что он экстрагирует из конденсата спирт и возвращает его в реакционный сосуд. В качестве такого компонента могут использоваться бензол, хлороформ, четыреххлористый углерод и некоторые другие жидкости, но из перечисленных только бензол можно использовать в «ловушках». Хлороформ и четыреххлористый углерод обладают большей плотностью, чем вода, и для отделения воды от реакционной смеси в случае использования этих жидкостей требуется «ловушка» другой конструкции.
