Сорбируемость меди на бурых углях, сапропелях и выделенных из них гуминовых кислотах
Рисунок 1 Градуировачный график для определения концентрации меди
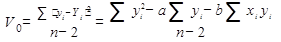
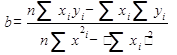
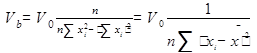
4.1.3 Статистическая обработка результатов линейной регрессии.
Для построения графика использовали программу Microsoft Excel. Для расчета коэффициентов a и b в линейном уравнении использовали расчет с помощью программ Microsoft Excel, Sigma Plot 2000, а также по формулам:
y = a + bx
где Р- обычно принимают равным 0,95
Значения для статистической обработки данных Таблица 4
|
xi |
xi2 |
yi |
yi2 |
xiyi |
|
0,02 |
0,0004 |
0,050 |
0,0025 |
0,0010 |
|
0,06 |
0,0036 |
0,0907 |
0,0082 |
0,0054 |
|
0,1 |
0,0100 |
0,155 |
0,0240 |
0,0155 |
|
0,14 |
0,0196 |
0,217 |
0,0471 |
0,0304 |
|
0,22 |
0,0484 |
0,324 |
0,1050 |
0,0713 |
|
0,26 |
0,0676 |
0,392 |
0,1082 |
0,0855 |
|
0,34 |
0,1156 |
0,501 |
0,2540 |
0,1703 |
|
0,38 |
0,1444 |
0,554 |
0,3069 |
0,2105 |
|
0,42 |
0,1764 |
0,611 |
0,3733 |
0,2566 |
|
0,5 |
0,2500 |
0,691 |
0,4775 |
0,3455 |
|
0,54 |
0,2916 |
0,734 |
0,5388 |
0,3964 |
|
0,66 |
0,4356 |
0,867 |
0,7517 |
0,5722 |
|
0,7 |
0,4900 |
0,897 |
0,8046 |
0,6279 |
|
0,74 |
0,5476 |
0,932 |
0,8686 |
0,6897 |
|
|
|
|
|
|
Ручная и машинная статистическая обработка данных приводит к коэффициентам линейной регрессии:
Результаты статистической обработки линейной регрессии:
y = a + bx
Таблица 5
|
Обработка результатов |
параметры | ||||
|
Коэфф. корреляции |
а+a |
b+b |
Sa |
Sb | |
|
По формулам |
0,04+0,07 |
1,3+0,1 |
0,0323 |
0,01478 | |
|
Microsoft Excel |
0,9961 |
0,04 |
1,3 | ||
|
Sigma Plot 2000 |
0,9961 |
0,04+0,1 |
1,3+0,5 |
0,0323 |
0,0139 |
Коэффициент корреляции составляет 0,9961, что свидетельствует о том, что зависимость между x и y с достаточной вероятностью может быть описана в параметрах линейной регрессии.
4.2 Характеристика бурого угля и сапропелей
