Спектральные методы анализа
Интенсивности спектров зависят от вероятностей переходов, от заселённости уровней, начальных для этих переходов.
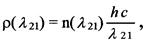
Для спектров испускания величину интенсивности () спектральной линии можно представить в виде
где 12 - длина волны спектральной линии, соответствующей переходу из состояния (1) в состояние (2);
А12 - коэффициент Энштейна, определяющий вероятность перехода из состояния (1) в состояние (2) с испусканием фотона;
N1 - число атомов или молекул в состоянии (1).
Из формулы следует связь интенсивности линии с числом возбуждённых атомов или молекул. Чем больше число возбуждённых атомов (молекул), тем больше интенсивность спектральной линии. Поэтому, измеряя интенсивность спектральной линии, можно определить число возбуждённых атомов (молекул), т.е. решить задачу количественного анализа.
Спектры испускания обусловлены переходами, при которых происходит уменьшение энергии атома (молекулы). Такие переходы происходят самопроизвольно - любая система стремится иметь минимальный запас потенциальной энергии.
Спектры поглощения связаны с переходами, при которых происходит увеличение энергии поглощающих излучение атомов (молекул). Такие переходы называются вынужденными, так как они возможны только при взаимодействии атомов (молекул) с фотонами, поэтому интенсивность спектральных линий в спектре поглощения зависит не только от числа поглощающих излучение частиц и вероятности такого поглощения, но и от числа фотонов, которые могут быть поглощены.
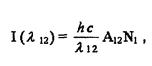
Интенсивность спектральных линий в спектре поглощения может быть записана так:
где В21 - коэффициент Эйнштейна, определяющий вероятность электронного перехода из состояния (2) в состояние (1) при взаимодействии атома (молекулы) с фотоном;
N2 - число атомов (молекул) в единице объёма в состоянии (2);
(21) - плотность излучения данной длины волны, т.е. Энергия фотона в единице объёма
где n(21) - число фотонов длины волны 21.
В такой записи интенсивность спектральной линии соответствует количеству энергии, поглощаемой N2 атомами (молекулами) в единице объёма в единицу времени.
Для определения положения (длин волн) спектральных линий и их интенсивностей необходимо использовать приборы, позволяющие выделять из всего спектра отдельные монохроматические (одноцветные) составляющие и измерять количество переносимой ими энергии.
Для монохроматизации часто используют светофильтры, т.е. устройства, изменяющие спектральный состав или энергию падающего на него излучения. Основной характеристикой светофильтра является его пропускание. Если в определённом интервале пропускание не зависит от длины волны, то такой светофильтр называется нейтральным, или серым, в противном случае - селективным. Селективные фильтры используют либо для выделения узкой спектральной области (узкополосные), либо для отделения широкой области спектра. Лучшие узкополосные фильтры имеют полосу пропускания ~0,1нм, однако количество пропускаемого ими излучения невелико, поэтому основное назначение светофильтров при спектральных исследованиях - грубая монохроматизация или неселективное ослабление излучения.
Для более полной монохроматизации излучения используют спектральные приборы, действие которых основано на преобразовании диспергирующим элементом пучка неразложенного излучения в совокупность пучков различных длин волн. В качестве диспергирующих элементов применяют призмы и дифракционные решетки. Принципиальная схема спектрального прибора приведена на рис.2.2.4.
Спектральный прибор состоит из входной щели 1, освещаемой спектрально неразложенным светом, объектива коллиматора 2, назначение которого - формирование спектрально неразложенного света в параллельный пучок и направление его на диспергирующий элемент 3 объектива камеры 4, назначение которого - фокусирование пучков различных длин волн (1, 2 и т.д.) в различных местах фокальной плоскости 5. Поскольку входная щель, расположенная в фокусе объектива коллиматора, является источником света для спектрального прибора, то в фокальной плоскости объектива камеры формируются её монохроматические изображения. Выходная щель, поставленная в фокальной плоскости, вырезает из всего спектра интервал длин волн . Такой прибор называется монохроматизатором.
Рис.2.2.4. Принципиальная схема спектрального прибора: 1 - входная
щель; 2 - объектив коллиматора (D1-его диаметр, f1-фокусное расстояние); 3 - призма;
4 - объектив камеры (D2 - диаметр, f2 - фокусное расстояние); 5 - фокальная плоскость
объектива коллиматора.
Приёмником излучения может служить глаз, но его возможности простираются на приблизительно от 400 до 700 нм. Глаз не даёт возможности проводить количественную оценку мощности раздражи-теля, однако достаточно хорошо улавливает небольшие различия в интенсивности почти одинаковых источников, поэтому визуальные исследования применяют в качественном анализе и практически не используют в количественном спектральном анализе.
Большое распространение в качестве приёмников излучения получили фотоэлементы и фотоумножители, устройства преобразующие энергию светового потока в электрический ток.
Фотоэлемент (рис.2.2.5) представляет собой вакуумную колбу, на одну из стенок которой нанесён фоточувствительный слой (фотокатод) и внутри располагается анод.
|
При попадании электромагнитного излучения на фотокатод в цепи возникает электрический ток (i), создающий на сопротивлении R разность потенциалов, которая может быть измерена разными способами. Обычно выбирают такой режим, чтобы фототок линейно зависел от интенсивности падающего излучения. Для исследования малых световых потоков используют фотоэлектронные умножители (ФЭУ). ФЭУ - фотоэлементы, усиливающие фототок до 106 раз, регистрируемый затем гальванометром. |
|
|
Рис.2.2.5. Принципиальная схема фотоэлемента. |
Наряду с фотоэлементами и ФЭУ в качестве приемников излучения применяют также фотоматериалы (фотопластинки, фотоплёнки), позволяющие задокументировать спектр излучаемого вещества.
