Специфичность фермента амилазы
Фосфотрансферазы. Сюда относят ферменты, ускоряющие реакцию переноса остатков фосфорной кислоты. К фосфотрансферазам относится, например, гексокиназа – фермент, ускоряющий перенос остатков фосфорной кислоты от молекулы АТФ к глюкозе (с этой реакции обычно начинается преобразование глюкозы):
Аминотрансферазы. Эти ферменты ускоряют реакцию переаминирования аминокислот с кетокислотами и очень важны для обеспечения биосинтеза аминокислот. Они имеют следующее строение:
Пиридоксальфермент катализирует реакцию переаминирования. В результате серии реакций, включающих в себя непременное образование фермент-субстратных комплексов, аспаргиновая кислота переходит в щавелево-уксусную кислоту, а кетоглутаровая – в глутаминовую. Это выражается следующим суммарным уравнением:
Гликозилтрансферазы.
Эти ферменты ускоряют реакции переноса гликозильных остатков из молекул фосфорных эфиров или иных соединений к молекулам моносахаридов, полисахаридов или иных веществ, обеспечивая главным образом, реакции синтеза и распада олиго- и полисахаридов в животном и растительном мире. Ниже приведено уравнение реакции распада сахарозы при участии сахароза-6-глюкозилтрансферазы, или сахарозофосфорилазы:
Гидролазы.
К классу гидролаз относят ферменты, ускоряющие реакции расщепления (иногда синтеза) органических соединений при участии воды. Они делятся на следующие подклассы:
Эстеразы катализируют реакции гидролиза сложных эфиров, спиртов с органическими и неорганическими кислотами. Важнейшими подподклассами эстераз являются гидролазы эфиров карбоновых кислот и фосфатазы. Представитель первого подподкласса – это липаза.
Липаза ускоряет гидролиз внешних, то есть, сложноэфирных связей в молекулах триглицеридов (жиров):
Фосфатазы катализируют гидролиз фосфорных эфиров. Особенно широко распространены фосфатазы, действующие на сложные эфиры фосфорной кислоты и углеводов, например глюкозо-1-фосфатаза:
Гликозидазы. Эти ферменты ускоряют реакцию гидролиза гликозидов.
Пептид-гидролазы. Ферменты этого подкласса ускоряют гидролиз пептидных связей в белках и пептидах, при определенных условиях также синтез пептидных связей. Химизм процесса гидролиза белков и пептидов при участии пептид-гидролаз можно выразить следующей схемой:
Амидазы ускоряют гидролиз амидов кислот. Из них важную роль в биохимических процессах в организме играют уреаза, аспарагиназа и глутаминаза.
Аспарагиназа и глутаминаза укоряют гидролиз амидов дикарбоновых кислот – аспарагиновой и глутаминовой, например:
К гидролазам, кроме амидаз, относится аргиназа. При ее посредстве аминокислота аргинин гидролизуется на орнитин и мочевину:
Лиазы.
К классу лиаз относят ферменты, ускоряющие негидролитические реакции распада органических соединений по связям С–С; С–N; C–O и т.д. При этом замыкаются двойные связи и выделяются такие простейшие продукты, как СО2, Н2О, NH3 и т.п.
Одну из важнейших групп ферментов этого класса являются углерод-углерод-лиазы (С–С-лиазы). Среди них особое значение имеют карбокси-лиазы (декарбоксилазы) и альдегид-лиазы.
В природе широко распространены декарбоксилазы кетокислот и аминокислот, катализирующие реакции по следующим схемам:
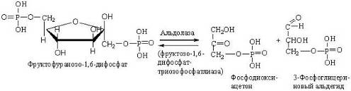
характерным представителем альдегид-лиаз является альдолаза, катализирующая обратимую реакцию расщепления фруктозо-1,6-дифосфата до фосфотриоз:
Другую важную группу лиаз составляют углерод-кислород-лиазы (гидролиазы), ускоряющие реакции гидратирования и дегидратирования органических соединений. В качестве представителя гидро-лиаз приведем фумарат-гидратазу:
Примером углерод-азот-лиаз может служить аспартат-аммиак-лиаза, ускоряющая реакцию прямого дезаминирования аспарагиновой кислоты:
Некоторые лиазы ускоряют реакции не только распада, но и синтеза. Например, из дрожжей выделена L-серин-гидро-лиаза, отщепляющая от серина воду и присоединяющая сероводород, в результате чего синтезируется аминокислота – цистеин.
Подобные ферменты называют синтазами.
Изомеразы.
Ферменты, относящиеся к этому немногочисленному (около 90 индивидуальных ферментов) классу, ускоряют геометрические или структурные изменения в пределах одной молекулы. Эти изменения могут состоять во внутримолекулярном переносе водорода, фосфатных и ацильных групп, в изменении пространственного расположения атомных группировок, в перемещении двойных связей и т.п. Важнейшими изомеразами являются триозофасфтизомераза, фосфоглицерат-фосфомутаза, альдозомутаротаза и изопентенилдифосфатизомераза.
Триозофасфтизомераза ускоряет перенос атомов Н в процессе превращения 3-фосфоглицеринового алдегида в фосфодиоксиацетон и обратно:
Фосфоглицерат-фосфомутаза обеспечивает достаточную скорость превращения 2-фосфоглицериновой кислоты в 3-фосфоглицериновую кислоту и обратно:
Мутароза является представителем стереоизомераз, она ускоряет реакцию превращения D-глюкопиранозы в D-глюкопиранозу:
Изопентенилпирофосфат-изомераза катализирует реакцию перестройки изопентилпирофосфата в диметилаллилпирофосфат, что связано с перемещением двойной связи из 3-го во 2-е положение:
