Степень набухания целлюлозы в растворах щелочей
При недостаточном разделении допускается увеличивать время перемешивания. Мешалку останавливают и вынимают из стакана, пренебрегая небольшим количеством волокон на пропеллере мешалки, так как они не влияют на результаты определения. Закрывают стакан крышкой, помещают в термостат при температуре 0C и выдерживают в нем в течение 60 мин, считая время по секундомеру с начала обработки целлюлозы щелочью. По истечении этого времени массу перемешивают стеклянной палочкой.
Примерно 20 см3 этой суспензии фильтруют при медленном отсасывании через стеклянный фильтр до исчезновения капель на кончике фильтра. Полученный фильтрат отбрасывают, так как до образования достаточного слоя волокон на фильтре часть мелких волокон может перейти в фильтрат и повысить результат определения растворимой фракции целлюлозы.
Фильтр с образовавшимся слоем волокна переносят на чистую отсосную колбу и при включенном вакууме через него медленно фильтруют оставшуюся в стакане массу, не допуская прососа воздуха через слой волокна на фильтре do избежание окисления целлюлозы кислородом воздуха в щелочной среде. Из отсосной колбы отбирают пипеткой 10 см фильтрата, переносят в коническую колбу вместимостью 250 см' и добавляют пипеткой 10 см3 раствора дихромата калия концентрацией 0,4 моль/дм3. Осторожно вращая колбу, добавляют мерным цилиндром 30 см3 концентрированной серной кислоты. Смесь при этом сильно разогревается. Колбу со смесью оставляют стоять 10 мин для завершения реакции окисления и по истечении этого времени охлаждают под струей воды до комнатной температуры. К охлажденному раствору добавляют мерным цилиндром 50 см3 дистиллированной воды и опять охлаждают до комнатной температуры.
Раствор в колбе титруют раствором соли Мора концентрацией 0,1 моль/дм3 до переходной окраски раствора от желтой к зеленой, добавляют пять-шесть капель ферроина и продолжают титровать раствором соли Мора до появления темно-красного окрашивания. Параллельно в тех же условиях проводят контрольное определение, используя 10 см3 соответствующего раствора гидроксида натрия вместо фильтрата.
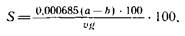
Массовую долю веществ, растворимых в щелочи >% к абсолютно сухой целлюлозе, рассчитывают по формуле
где х — объем щелочного фильтрата, взятого на окисление, см3; b — расход раствора соли Мора на титрование окисленного щелочного фильтрата, см3; а — расход раствора соли Мора на титрование контрольной пробы, см3; 0,000685 — масса целлюлозы, практически окисляемая 1 см3 раствора дихромата калия концентрацией 0,1 моль/дм3, г; g — масса навески абсолютно сухой целлюлозы, г.
Расхождение между двумя параллельными определениями не должно превышать 0,1% при массовой доле щелочерастворимой фракции целлюлозы до 4,5% и 0,3%— при массовой доле щелочерастворимой части целлюлозы выше 4,5%.
Методика иодометрического титрования. Окисление 10 см3 фильтрата проводят в конической колбе вместимостью 1 дм3 по вышеуказанной методике. К охлажденному окисленному раствору добавляют мерным цилиндром 480 см3 дистиллированной воды и снова охлаждают. После этого к смеси приливают пипеткой 20 см3 10%-ного раствора KI, выдерживают смесь в темноте в течение 5 мин и оттитровывают иод раствором тиосульфата натрия концентрацией 0, Г моль/дм3 до светлого желто-зеленого цвета. Затем в колбу добавляют 1 .2 см3 0,2%-ного раствора крахмала и продолжают титровать раствором тиосульфата до перехода темно-синей окраски в светло-зеленую. Параллельно проводят контрольное определение с раствором гидроксида натрия вместо фильтрата. При этом рекомендуется сначала провести титрование контрольной пробы для того, чтобы научиться точнее определять переходную окраску, при достижении которой следует добавлять раствор крахмала.
Массовую долю веществ, растворимых в щелочи,% к абсолютно сухой целлюлозе, рассчитывают по вышеуказанной формуле, где Ь — расход раствора тиосульфата натрия концентрацией 0,1 моль/дм3 на титрование окисленного щелочного фильтрата, см1; а — расход раствора тиосульфата натрия концентрацией 0,1 моль/дм3 на титрование контрольной пробы, см3.
