Сущность и химическая структура стероидов
Тестостерон ципионат
В молекуле тестостерона ципионата, вместо водорода в гидроксильной группе С17, к молекуле тестостерона присоеденена боковая цепь, состоящая из 8 атомов углерода, кольца циклопентана и одной карбоновой группы (=О). Тестостерон ципионат входит в группу наиболее сложных эфиров. Если сравнивать сложные эфиры по их молекулярной массе, то можно поставить их в таком порядке, начиная с наименьшей: ацетат, пропионат, фенилпропионат, изокапроат, капроат, энантат, ципионат, деканоат, ундесиленат, ундеканоат, лаурат. Наибольшей молекулярной массой обладает лаурат, который состоит из 12 атомов углерода, 24 атомов водорода и 2 атомов кислорода. Сложные эфиры могут присоединяться и к другим стероидам, не ограничиваясь только тестостероном.
Превращение тестостерона в дигидротестостерон происходит как в яичках, так и вне яичек с участием 5альфа-редуктазы. В течение этого процесса двойная связь между С5 и С4 уменьшается до одинарной(простой) связи, при этом к С4 и С5 присоединяются по одному атому водорода
ДГТ
Не все стероиды конвертируются в ДГТ с помощью 5альфа-редуктазы. Благодаря специцифичности ферментов, которую можно описать по аналогии ключ-замок, каждый фермент подходит только определенному субстрату.
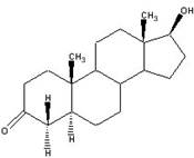
Следующий стероид, который мы рассмотрим - Нандролон Деканоат
Как вы видите нандролон отличается от тестостерона только в одном: на месте метиловой группы (СН3) в позиции С10 стоит водород (не показан на рисунке). Благодаря своей схожести с тестостероном, нандролон также конвертируется с помощью 5альфа-редуктазы, конечный продукт этой реакции – дигидронандролон, молекула которого в свою очередь схожа с ДГТ.
Некоторые стероиды способны также к ароматизации, это процесс преобразования андрогена в эстроген с помощью фермета ароматазы. Тестостерон конвертируется в эстрадиол, который показан ниже.Если сравнить молекулу эстрадиола с молекулой тестостерона, то можно увидеть, что метиловая группа в позиции С10 отсутствует, а кислород в позиции С3 превратился в гидроксильную группу. Ароматизация привела к потере числа углерода и к образованию двойных связей в цепи, чтобы процесс ароматизации произошел, молекуле стероида необходимо иметь метиловую группу в позиции С10, еще один принцип ключ-замок. По этой причине Нандролон не конвертируется в эстроген, т.к не имеет метиловой группы.
Еще одна причина, по которой стерод не может ароматизироваться в эстроген – это само строение молекулы, когда строение видоизменено, ароматаза не может функционировать.
Пример такого измененного кольца молекулы это Оксандролон, где в позиции С2 стоит кислород вместо углерода. Обратите внимание, что метиловая группа в позиции С10 присутствует, но ароматизация все равно не возможна.
Оксандролон
Ярким примером изменения в структуре молекулы, является Станазолол, где к четырем основным кольцам присоединено пятое кольцо, которое и предотвращает этот стероид от ароматизации.
Станазолол
Еще одно превращение, которому подвергаются некоторые стероиды – это 17 альфа-алькилирование, в этом процессе к позиции С17 присоединяется метиловая группа (СН3). Эти стероиды, проходя печень, практически не подвергаются изменениям и имеют более длинный период полураспада, чем их неалькилированные собратья. Примером 17 альфа-алькилирования является представленный выше оксандролон, обратите внимание на СН3 в позиции С17. Большинство оральных стероидов 17 альфа-алькилированы, поэтому более токсичны для печени, чем инъекционные стероиды.
В таблице вы найдете больше примеров стероидов и возможных превращений.
Эстрогенная активность: эстрогенно не активен
Прогестагенная активность: нет данных (возможно низкая)
Мастерон- иньекционный препарат, содержащий действующее вещество дростанолон.
Дростаналон – производная дигидротестостерона, 2а-метил-дигидротестостерон.
В результате, у нас получается неароматизирующийся умеренный анаболик\мощный андроген, поэтому задержку воды и гинекомастию мы можем не брать в расчет.
Также он обладает антиэстрогенной активностью, примерно также как провирон. Культуристы находят этот стероид очень удобным для предсоревновательной подготовки.
Он улучшает внешний вид мускулов, усиливает их жесткость, прорисованность, снижает процент подкожного жира. Раньше этот препарат не ловился на допинг-контроле, но с начала 90-ых есть методика по выявлению его метаболитов моче.
Некоторые атлеты утверждают, что если прекратить прием мастерона за 3-4 недели до соревнований - можно пройти допинг-контроль, но надо иметь ввиду, что иньекционные эфиры могут по разному вести себя в разных организмах.
Хоть дигидротестостерон и не очень активен в мышечных тканях, 2альфа-метилирование очень усиляет его анаболические способности.
Мастерон- стероид для построения качественной массы. Наиболее хорошо будут видны его свойства, если применять его в связке с такими иньекционными препаратами, как нандролона деканоат\болденона ундесилинат.
Для большего роста массы, можно применять связки мастерона с метандростенолоном\эфирами тестостерона. Также мастерон может использоваться в предсоревновательной подготовке, в связке с винстролом\примоболаном\оксандролоном.
Пропионатный эфир держится в крови очень короткое время, всего лишь несколько дней, поэтому иньекции мастерона нужно производить хотя бы каждые 3-4 дня, для поддержания его уровня в крови. Дозировка составляет 200-350мг в неделю для мужчин.
Женщинам лучше не применять этот препарат ввиду его высокой андрогенности и возможных побочных эффектов вирилизации. Если же все-таки женщина-культуристка решится на его использование, дозировка должна быть ограничена 25-50 мг в неделю.
Мастерон не представляет вреда для печени, поэтому его можно использовать в длинных циклах. Единственные побочные эффекты- андрогенные (сальная кожа, акне, агрессивность, рост волос на теле и лице)
Проскар не поможет нам в случае мастерона, так как мастерон- искусственная производная дигидротестостерона. Также не рекомендуется применять этот стероид людям начинающим лысеть, так как мастерон может усилить выпадение волос.
На черном рынке препарат доступен, производится фирмами BD, в дозировке 100мг\мл, под названием мастабол. Мастабол выпускается в стеклянных бочонках, с красной или синей жестяной запечаткой+ непосредственно на пластиковой крышке должно быть выбито название продукта.
