Теория Брэгга-Вильямса для неидеальных смесей
Полезно рассмотреть смешение воды и гидрофобных молекул, например углеводородов. Взаимодействие вода-вода отрицательно и существенно по величине, тогда как взаимодействия вода-углеводород и углеводород-углеводород по сравнению с ww слабые и их можно считать нулевыми. Тогда эффективное парное взаимодействие записывается следующим образом:
Параметр ч для такой системы при комнатной температуре будет иметь значение, близкое к 5. Таким образом, теория Брэгга-Вильямса предсказывает несмешиваемость масла и воды.
Рис. 3. Фазовые диаграммы смесей с верхними и нижними критическими точками: а — фенол-вода; б — триэтиламин-вода; в — никотин-вода
Теория растворов полимеров Флори-Хаггинса: описание фазовых превращений
Энтропия смешения для системы полимер-растворитель
Рассмотрим смесь двух жидкостей, одна из которых — полимер. При этом можно использовать приведенную выше модель, но энтропия смешения для системы растворитель-полимер будет другой. Очевидно, что изменение энтропии будет меньше, поскольку мономерные звенья полимера не способны полностью использовать увеличение объема при смешении. Этому препятствует «связанность» мономеров в полимере. А энергия смешения имеет тот же вид, что и для смеси двух низкомолекулярных жидкостей.
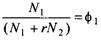
Рассмотрим раствор, состоящий из Н\ молекул растворителя и N2 молекул полимера со степенью полимеризации г; суммарно число молекул растворителя и мономерных звеньев равно Н= N + Nir. Энтропия смешения такой системы выражается уравнением
где
Тогда выражение для энтропии смешения можно записать в обычном виде:
Общее число молей определяется как число молей растворителя и полимерных сегментов в системе. Энтропия смешения, отнесенная к одному молю вещества, задается выражением
Рис. 4. Модель решетки для случайного смешения полимера и жидкости светлые кружочки)
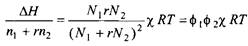
Энергия смешения имеет ту же форму, что и для смеси низкомолекулярных жидкостей); запишем ее в виде
Интересно проанализировать разницу в изменении энтропии при смешении двух простых жидкостей и смешении простой жидкости и полимера. Обозначим эту разницу AAS:
Таким образом, величина AAS увеличивается с длиной молекулы полимера, и, как следствие, можно ожидать, что фазовое разделение смеси полимер-растворитель должно происходить на более ранней стадии, т. е. при более низкой температуре, чем фазовое разделение смесей двух низкомолекулярных жидкостей.
Фазовое равновесие в теории Флори-Хаггинса
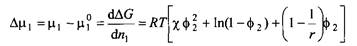
Из уравнений и свободную энергию смешения на моль можно выразить уравнением, где первый член представляет собой изменение энергии, а второй — изменение энтропии при смешении. Производная этого выражения по компоненту 1 соответствует химическому потенциалу растворителя в бинарном растворе:
Рис. 5. Избыточный химический потенциал растворителя в бинарном растворе, содержащем полимер. Степень полимеризации составляет 1000, значения параметра взаимодействия ч указаны около кривых
Немонотонное изменение химического потенциала свидетельствует о фазовом разделении системы. Интересно выяснить, при каком значении ц это происходит. После некоторых алгебраических преобразований найдем, что критическая точка определяется двумя выражениями:
Имеет смысл сравнить значения критических параметров для растворов полимеров с соответствующими параметрами для регулярных растворов хс = 2ифс = 0.5. Видно, что растворы полимеров легче становятся несовместимыми и разделяются на фазы ).
И-Температура
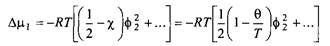
В науке о полимерах широко распространена концепция и-температуры и представление о хороших и плохих растворителях. Чтобы ввести эти понятия, вернемся к уравнению. Избыточный химический потенциал для малых объемных долей растворенного вещества можно разложить в ряд:
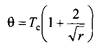
где тета-температура определяется как
Уравнение показывает, что при равенстве физической температуры тета-температуре система ведет себя как идеальный раствор, т. е. Дмй = 0. Если Ф > и, растворитель является для полимера хорошим растворителем, а если Ф < и — растворитель плохой. Кроме того, можно интерпретировать 0-темпера-туру другим способом, используя критическую температуру, при которой наблюдается первое фазовое разделение раствора полимера:
Рис. 6. Фазовые диаграммы для трех фракций полиизобутилена в диизобутилкетоне. Сплошные кривые проведены через экспериментальные точки, пунктирные кривые — теоретические
Таким образом, из уравнения и-температуру можно определить как критическую температуру для бесконечно длинного полимера.
