Теплоты сорбции акрилонитрила в капроновые
Применение метода кинетической калориметрии для изучения процессов сорбции паров в полимерные материалы оказалось весьма эффективным. Одновременное измерение скорости и теплоты сорбции дает дополнительную информацию о процессе сорбции, структуре подложки и возможном влиянии ее на процесс прививочной полимеризации сорбированного мономера [1]. Особенно важным представляется прямое измерение теплот сорбции. Как показано ранее [2—5], энергия связи молекул с подложкой является одним из решающих факторов течения процесса радиационной прививочной полимеризации.
В литературе практически отсутствуют данные прямых измерений теплот сорбции в полимерные материалы. Обычно считают, что теплота сорбции, или теплота растворения, выделяется при взаимодействии молекулы с поверхностью полимерного материала. Дальнейшее перемещение молекул по среде происходит в среднем без изменения общей энергии [6]. В то же время многие эксперименты свидетельствуют о том, что как и на поверхности твердых тел, в объеме полимерных материалов имеется распределение по глубинам ловушек [7—9]. Для прямого наблюдения такого распределения в полимерных системах необходимы измерения теплот сорбции в условиях равновесной сорбции при разных степенях заполнения потенциальных мест сорбции в материале.
Целью настоящей работы — измерение теплоты сорбции акрилонитрила (АН) капроновым волокном и зависимости ее от концентрации сорбированного АН, а также изучение особенностей сорбции АН в промышленное капроновое волокно и в капроновое волокно, модифицированное прививкой АН.
Методика измерений описана подробно ранее и состоит в одновременном и непрерывном измерении скорости сорбции и скорости тепловыделения на подложке двумя дифференциальными калориметрами с автоматической регистрацией сигналов на потенциометре КСПП-4 и в памяти ЭВМ СМ-3 [1].
Исследовали сорбцию АН в промышленное капроновое волокно (К) диаметром 17 мкм и капроновое волокно после прививки на него 55 вес.% ПАН (Кпр). Прививку АН осуществляли радиационным газофазным методом при мощности дозы 6 рад/с, давлении пара АН р=400 мм рт. ст. и температуре волокна 80°.
Перед исследованием волокно (~1,5 г), плотно уложенное в калориметрической кювете, предварительно откачивали до остаточного давления Ю-3 мм рт. ст. при 70° в течение 3 ч. Упругость пара сорбируемого АН изменяли в пределах 7—70 мм рт. ст., задавая соответствующую температуру кюветы с жидким АН. Температура, волокна составляла 22°. Чувствительность установки при измерении скорости тепловыделения Ю-5 Вт, при измерении скорости сорбции 6 • 10~8 г АН/с.
Измерения теплот сорбции в материалах с низкими значениями коэффициентов; диффузии D могли быть проведены с достаточной точностью лишь на некотором ограниченном во времени участке процесса сорбции т, где скорости сорбции и тепловыделения достаточно велики.
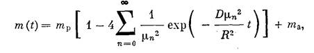
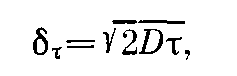
Измеряемые за время т количество сорбированного мономера т, количество выделившегося тепла Q и теплота сорбции E = Q/m характеризуют процесс установления равновесной сорбции в слое, глубину которого бт для волокон определяли по соотношению
где D — коэффициент диффузии мономера в волокно. Определение величин D проводили двумя способами.
1. Минимизируя с помощью ЭВМ сумму квадратов отклонений точек на экспериментальных кривых сорбции от соответствующих им значений, получаемых по расчетной зависимости
которая является решением уравнения Фика для диффузии в бесконечный цилиндр. 2. По начальному участку кривых сорбции, для которого
где R — радиус волокна; m(t) — количество АН, сорбированного за время t; mv— величина равновесной сорбции; та — количество АН, адсорбируемого на поверхности волокна.
При определении D по способу 2 величины тр измеряли в специальных опытах при сорбции АН до полного насыщения. Ошибка измерения тр составляет 10%. В способе 1 тр находили как параметр при сравнении экспериментальной кривой с расчетной зависимостью (2). Величины mv и m{t) нормированы к весу волокна и имеют размерность вес.°/о- Точность измерения m{t) составляла 3%.
На рис. 1 приведены кинетические кривые сорбции исследованными волокнами. Следует отметить отличное совмещение экспериментальных точек и расчетной зависимости, что позволяет с хорошей точностью описывать процесс сорбции определяемыми ЭВМ параметрами D, mv и тя. Из представленных данных следует также, что уже в течение первых 15—20 мин скорость сорбции в К- и Кпр-волокна уменьшается почти на порядок, а количество сорбированного АН составляет от равновесно сорбируемого. Поэтому определение теплот сорбции АН проводили на участке сорбции, длительность которого т составила 20 мин. Точность определения величины Е на этом участке была не хуже 5%.
Приведенные на рис. 1 данные показывают также, что прививка ПАН на капроновые волокна существенно меняет картину сорбции по сравнению с исходным капроновым волокном; и скорости сорбции, и достигаемые концентрации АН в КцР-волокнах заметно ниже.
Основные характеристики процесса сорбции АН в К- и Кпр-волокна при разных давлениях пара приведены в таблице. Для исходных К-воло-кон величины D практически не меняются с ростом давления АН и соответствующим увеличением равновесной концентрации. Из этого следует, что увеличение концентрации АН от 1 до 2,8% не вызывает заметных изменений структуры волокна и глубина слоя бт практически не меняется при изменении давления пара АН.
Как следует из приведенных в таблице данных, величины D для модифицированных Кцр-волокон в 2 раза выше, чем для исходных, а равновесная концентрация АН почти в 3 раза ниже при сравнимых условиях сорбции. Снижение величины тр означает, по-видимому, уменьшение количества центров сорбции в привитом волокне и увеличение расстояния между ними, что приводит к росту величины D, поскольку (X — расстояние между центрами сорбции, тс — время жизни молекулы на центре, определяемое величиной теплоты сорбции).
Полученные значения D позволяют оценить в соответствии с соотношением (1) глубину слоя, в котором за 20 мин устанавливается концентрация АН, близкая к равновесной. Для К-волокна, 6Т~2 мкм, для Кпр-волокна 3 мкм.
Рис. 1. Кинетические кривые сорбции АН волокнами К (1) и К„р (2). Т?очки — экспериментально измеренные величины, сплошные линии — расчетная зависимость (2). Температура волокна 22°, р=33 мм рт. ст.
Рис. 2. Зависимость интегральной теплоты сорбции АН в К- (1) и Кцр-волокна (2) от относительной концентрации АН
Рис. 3. Изотерма адсорбции АН на поверхности Кпр-волокна {1), а также изотерма сорбции в объем исходного К-волокна (2) и в объем КПр-волокна (3) за 20 мин
