Ультразвуковая экстракция полисахаридов льна
Таблица с сокращениями взята из статьи (Adlercreutz, Mazur, 1997)
Сл. - Присутствуют в следовых количествах.
Н.о. - Не определено из-за низкой концентрации и примесей других веществ
* - Секоизоларицирезинол
** - В муке также обнаружено 30 мкг/100 г формонентина и 70 мкг/ 100 г биосхенина А.
*** - Также (мкг/100 г): 1270 - формонентина, 381 - биосхенина А, 5,3 - кумэстрола.
°° - Также (мкг/100 г): 7,5 - формонентина, 14,1 - биосхенина А, 1,8 - кумэстрола.
°°° - Также 1032 мкг/100 г кумэстрола.
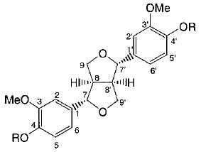
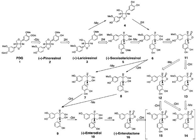
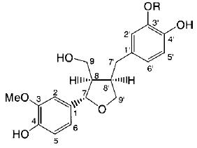
До недавних пор, единственными предшественниками энтеролактона и энтеродиола считали секоизоларицирезинол и матаирезинол [52,53,54]. В 2001-2003 годах были идентифицированы такие предшественники энтеролактона [55, 56], как пинорезинол, ларицирезинол, сирингарезинол, 7- гидроксиматаирезинол и арктигенин, и на основании растительного биосинтетического пути для секоизоларицирезинола и матаирезинола предложена возможная метаболическая схема для пинорезинола, в которой предполагается образование животных лигнанов из ларицирезинола и секоизоларицирезинола [55]. Дигликозид пинорезинол – основа традиционного антигипертезивного средства [57].
Структура и возможные пути трансформации пинорезинола дигликозида (PDG) (1) и его метаболитов (2 – 16) интестинальной микрофлорой человека показаны на рис. 2, 3).
|
|
| ||||||||
|
R |
R | ||||||||
|
1. |
PDG |
Glc |
3. |
(+)-Lariciresinol |
CH3 | ||||
|
2. |
(+)-Pinoresinol |
H |
4. |
H | |||||
|
|
| ||||||||
|
R1 |
R2 |
R3 |
R4 |
R1 |
R2 |
R3 |
R4 | ||
|
5. |
OCH3 |
OH |
OH |
OCH3 |
11. |
OCH3 |
OH |
OH |
OH |
|
6. |
OCH3 |
OH |
OH |
OH |
12. |
OH |
OH |
OH |
OH |
|
7. |
OH |
OH |
OH |
OH |
13. |
OCH3 |
OH |
H |
OH |
|
8. |
OCH3 |
OH |
H |
OH |
14. |
OH |
OH |
H |
OH |
|
9. |
OH |
OH |
H |
OH |
15. |
OH |
H |
OH |
OH |
|
10. |
OH |
H |
H |
OH |
16. |
OH |
H |
H |
OH |
|
Рисунок 2 - Структура пинорезинол дигликозида (1) и его метаболитов (2 - 16) | |||||||||
|
| |||||||||
|
Рисунок 3 - Возможные пути трансформации пинорезинола дигликозида (1) интестинальной микрофлорой человека | |||||||||
Лигнаны могут быть условно разделены на несколько различных структурных подгрупп [26]. Наиболее известными являются дибензилбутаны (например, секоизоларицирезенол), дибензилбутиролактоны (например, матаирезинол , арктигенин), фурофураны (например, пинорезинол , медиорезинол), арилнафталены (например, хиненсин) и арилтетрагидронафталены (например, подофиллотоксин ).
3. ЭКСПЕРИМЕНТАЛЬНАЯ ЧАСТЬ
3.1 Оборудование и материалы
Для выделения полисахаридов льна и контроля процесса ультразвуковой экстракции необходимы следующие приборы, лабораторная посуда и материалы:
ультразвуковой диспергатор IKASONIC U 50 control;
Фурье-спектрометр «ИНФРАЛЮМ ФТ»;
шкаф сушильный;
весы аналитические;
весы технические;
стеклянные стаканы объемом 100 мл;
стеклянные воронки;
пипетки объемом 1, 2, 5, 10 мл;
тигли фарфоровые;
марлевая ткань для фильтрования.
Используемое сырье:
вода дистиллированная;
семена льна.
3.2 Изучение ультразвукового воздействия на процесс получения экстрактов семян льна
Получение экстрактов проводили при комнатной температуре, с помощью ультразвукового диспергатора и воды в качестве экстрагента. Для экстракции было взято соотношение сырьё: экстрагент 1:10 (по весу).
Применение в качестве экстрагента воды связано с её пищевой и фармацевтической применимостью.
Ультразвуковая обработка экстрактов проводилась с помощью прибора IKASONIC U 50 control. Он генерирует продольные механические колебания с частотой 30 кГц. Прибор регулируется вручную, но возможен и компьютерный контроль генерируемой мощности ультразвука. Благодаря сменным насадкам возможно получение получить следующий диапазон мощностей: от 12,5 Вт/см
до 460 Вт/см
. Для длительной обработки среды прибор крепится к стенду (штативу), для чего предусмотрен специальный держатель.
