Ультрафиолетовое отверждение лаков и красок
Из-за уменьшения интенсивности излучения экспоненциально падает и тепловая мощность, высвобождаемая в единице объема материала. Естественно поэтому ожидать уменьшения температуры от поверхности к центру объема материала. Это происходит в случае, когда значение глубины проникновения много меньше толщины разогреваемого объекта. В обратном случае, когда глубина проникновения сопоставима или превышает размеры объекта, имеет место обратный, или инверсионный, температурный профиль, т.е. температура внутри материала выше, чем на поверхности. Объясняется это тепловым излучением с поверхности и конвекционным охлаждением внешних слоев материала окружающим воздухом. Из вышесказанного следует, что микроволновый нагрев имеет совершенно иную природу, чем конвекционный. В случае конвекционного нагрева происходит диффузионный перенос тепла от теплоносителя к нагреваемому веществу. При микроволновом нагреве возрастание внутренней энергии вещества происходит вследствие диссипации непосредственно в самом веществе некоторой части поглощенной электромагнитной энергии. Из этого вытекают следующие важные преимущества и особенности микроволнового нагрева:
1. нагрев происходит по всему объему материала, при этом теплопроводность материала не играет роли;
2. изменение температуры нагреваемого материала происходит безынерционно в соответствии с изменением подводимой мощности;
3. возможность динамичного регулирования температуры при проведении эксперимента;
4. возможность подъема температуры материала до заданных значений за очень короткое время;
5. отсутствие вещества-теплоносителя упрощает проведение эксперимента, исключает возможность перегревов и пригорания материала [2].
Оборудование для микроволнового нагрева
Для проведения экспериментов применяются либо модифицированные бытовые микроволновые печи, либо специальные микроволновые установки, ориентированные на проведение подобных исследований. Обычно мощность таких печей находится в пределах 600—1000 Вт, частота вырабатываемого излучения 2450 МГц. Емкость с реагентами помещается в камеру печи и через специальные отверстия в стенках камеры подсоединяется к вспомогательной аппаратуре (холодильник, перемешивающее устройство и т. п.), контролирующим и регулирующим устройствам. Иногда в камеру помещается змеевик, через который насосом прокачивается реакционная масса. Принцип работы микроволновой печи заключается в следующем: излучение, вырабатываемое магнетроном — генератором микроволнового излучения, пройдя по волноводу, попадает в камеру, где поглощается реагентами.
Посуда, используемая в микроволновых экспериментах, должна быть выполнена из материалов, пропускающих микроволны практически без ослабления, — стекла, кварца, тефлона. Очевидно, непригодны такие материалы, которые отражают или, наоборот, хорошо поглощают микроволны (металл, некоторые полимеры). Для работы при повышенном давлении в лаборатории используют тефлоновые автоклавы или запаянные стеклянные ампулы, а при обычных условиях вполне пригодна обычная химическая посуда. Для измерения температуры в условиях микроволнового нагрева обычно используют следующие средства.
1. Термометры с неметаллическими и не взаимодействующими с микроволнами наполнителями. Вполне пригодны, например, керосиновые термометры (0—200°С). С помощью газовых термометров кроме измерения можно осуществить регулирование температуры по способу обратной связи.
2. Оптические и волоконно-оптические пирометры — наиболее совершенный и самый дорогой способ контроля и регулирования температуры.
Традиционные сродства измерения, в которых, как правило, присутствуют металлические компоненты — ртутные термометры, термосопротивления, термопары, — не пригодны для микроволновых экспериментов. Вообще, в этих экспериментах следует избегать применения металлических предметов, так как они искажают картину распределения электромагнитного поля в реакционной камере [2].
Образование новых С=С и С–С связей в условиях микроволнового облучения
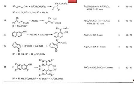
Для образования двойной углерод-углеродной связи используют альдольно-кротоновую конденсацию или родственные ей реакции (примеры №№ 1-7, табл. 2); конденсацию нитрометана и его производных с 5-нитро-6-хлорметилимидазо-тиазолом (№ 8), бензальдегидом и его производными (№ 9); реакцию Виттига (№№ 10-12); реакции элиминирования (№ 13). В микроволновых условиях конденсация хлорметилимидазотиазола с производными нитрометана идет в 240 раз быстрее, чем при термической активации (см. табл. 2).
Введение в органическую молекулу двойной связи по Виттигу в условиях МВО (примеры №№ 10-12) проходит с небольшим ускорением по сравнению с термической реакцией, причем использование привитых на подложку реагентов не изменяет время проведения реакции.
В табл. 2 приведены также примеры образования новой С–С-связи в условиях МВО (примеры №№ 14-22). Для этого использовали реакции аллильного замещения, С-алкилирования, С-аминоалкилирования, окислительного сочетания. Здесь уместно остановиться на примере асимметрического аллильного алкилирования метил-(Е)-3-фенилаллилкарбоната (пример № 17), в котором изучено влияние природы катализатора (ср. с примером № 15) и растворителя, мощности излучения.
Таблица 2. Образование новых С=С- и С–С-связей в условиях микроволнового облучения.
Получение полимерных мaтeриaлoв и изделий отверждением термореактивных композиций под действием электрических полей
При разработке высокопроизводительных технологических процессов производства полимерных материалов из термореактивных композиций возникает проблема выбора метода и соответствующего оборудования для отверждения и формования изделий. В качестве альтернативного традиционным методам нагрева и отверждения может быть использован метод отверждения под действием электрических полей высокой частоты [6].
Метод высокочастотного нагрева полимерных материалов основан на том, что полярные группы и сегменты молекул диэлектрического материала, помещенного в переменное электрическое поле, ориентируются вместе с изменением его полярности. Другие группы и молекулы, а также тепловое движение препятствуют ориентации. Энергия, которая затрачивается на преодоление препятствий, рассеивается в материале и нагревает его.
Интенсивность нагрева повышается с увеличением частоты колебаний и напряженности электрического поля. Преимущество высокочастотного нагрева состоит в том, что прогрев происходит во всем объеме одновременно, а степень нагрева может регулироваться с высокой точностью [6].
Электромагнитные колебания, которые на практике применяются для нагрева и отверждения термореактивных композиций подразделяются на два основные диапазона: токи высокой частоты (ТВЧ) и сверхвысокой частоты (СВЧ) или микроволновое излучение (МВИ). В диапазоне ТВЧ используются частоты 1-100 МГц, а в диапазоне МВИ частоты 915-2450 МГц.
