Химическая реакция в смеси идеальных газов. Константа химического равновесия в смеси идеальных газов
Применяя правило ИЮПАК для стехиометрических коэффициентов, формулу (21.3) легко записать в общем виде
; (5)
Введём стандартные химические потенциалы
веществ i.
. (6)
Стандартное сродство реакции принимает вид
; (7)
Сокращая на RT=NkT, получаем
; (8)
Константа химического равновесия в смеси идеальных газов.
Совершим цепочку несложных преобразований. Вначале внесём стехиометрические коэффициенты в сумме под знак логарифма в виде показателей степеней у статистических сумм
; (9)
Затем воспользуемся тем, что сумма логарифмов равна логарифму произведения
; (10)
Наконец, избавляясь от логарифмов, получаем искомое статистическое выражение для константы равновесия
; (11)
Она имеет вид произведения статистических сумм.
Константа химического равновесия в смеси идеальных газов.
![]()
; (12)
Стандартные суммы состояний имеют вид:
- трансляционная:
; (13)
- молекулярная:
; (14)
Константа равновесия может рассчитываться как непосредственно в виде произведения статистических сумм,
; (15)
которые предварительно следует рассчитать, а также по результирующей формуле
; (21.14)
При вычислении электронных сумм состояния помним, что занят один-единственный электронный уровень, и он характеризуется кратностью вырождения ge, i. Эта кратность равна числу микросостояний основного терма у атомов и у молекул. У молекул чаще всего достаточно спиновой мультиплетности, но возможно и орбитальное вырождение. Это уже зависит от конкретной частицы.
Поэтому электронная сумма состояний у молекулы определяется формулой
; (16)
Энергия химической связи считается равной энергии её диссоциации и отсчитывается от основного колебательного уровня, а не от минимума потенциальной кривой.
Этот вопрос рассмотрен в учебнике Даниэльса и Олберти на стр.539 в разделе 17.13. Там же приводятся основные формулы. Раздел написан хорошо и достаточно просто. Этот учебник вполне пригоден для подготовки студентов.
1. Сводка статистических сумм для простейших стационарных движений.
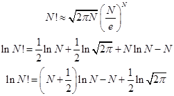
ПРИЛОЖЕНИЕ 1. Математическая справка о факториалах больших числах.
Факториал числа, соизмеримого с числом Авогадро, непосредственно вычислить невозможно, и поэтому давно разработаны приближённые способы численно точного вычисления, основанные на применении гамма – функции Эйлера первого рода.
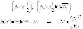
При очень большом числе, факториал которого вычисляется, точной становится формула Стирлинга (можете проверить прямыми вычислениями). Разность между точным и приближённым логарифмами становится относительно малой величиной:

Таблица. Точные и приближённые значения логарифмов факториалов больших чисел.
|
N |
N! точно |
ln(N!) точно |
Стирлинг точно |
Стирлинг прибл. |
|
8 |
40320 |
10.604 |
10.594 |
8.635 |
|
9 |
362880 |
12.802 |
12.7925 |
10.775 |
|
10 |
3628800 |
15.1044 |
15.096 |
13.026 |
|
11 |
39916800 |
17.5023 |
17.4948 |
15.377 |
|
12 |
479001600 |
19.987 |
19.979 |
17.818 |
|
13 |
6227020800 |
22.55216 |
22.545 |
20.344 |
|
14 |
8.71782912*1010 |
25. 19122 |
25.185 |
22.947 |
|
20 |
2.432902008*1018 |
42.3356 |
42.33145 |
39.915 |
|
25 |
1.55112100*1025 |
58.00 |
57.998 |
55.470 |
|
50 |
3.041409*1064 |
148.478 |
148.476 |
145.601 |
ПРИЛОЖЕНИЕ 2.
Дополнительные сведения о вращательных статистических суммах.
Для справки приведём ротационные статистические суммы молекулы с учётом её внутренних вращений
Суммы по состояниям для внутреннего вращения (Ерёмин, стр.181-182):
Для свободного внутреннего вращения в этане (при высокой температуре):
Для каждой из двух свободно вращающихся групп в сложной молекуле:
