Химические свойства ароматических углеводородов. Полиядерные ароматические соединения
Реакции электрофильного замещения: галогенирование, нитрование, сульфирование, алкилирование, ацилирование. Механизм реакции электрофильного замещения. Понятие о p- и s-комплексах, их строение. Энергетическая диаграмма. Влияние заместителей на направление и скорость электрофильного замещения. Галогенирование и нитрование боковых цепей. Окисление бензола и его гомологов. Озонолиз. Реакции присоединения: гидрирование, галогенирование.
Нафталин: строение, ароматичность, номенклатура. Химические свойства: реакции электрофильного замещения (галогенирование, нитрование, сульфирование, ацилирование); реакции присоединения, гидрирование, галогенирования. Окисление. a- и b-Нафтолы и нафтиламины. Бифенил, трифенилметан. Понятие об устойчивых радикалах.
ХИМИЧЕСКИЕ СВОЙСТВА
В силу строения бензольного кольца для ароматических соединений ряда бензола характерны реакции электрофильного замещения.
Конкуренция между присоединением нуклеофильной частицы и отрывом протона в реакции бензониевого иона.
n реакция 1 не происходит;
n реакция 2 происходит:
В p-комплексе p-электронная система бензола выступает как донор электронов, а электрофильный агент действует как акцептор электронов. Однако образование и диссоциация p-комплекса происходят очень быстро, и образование p-комплекса в большинстве случаев не оказывает существенного влияния ни на скорость реакции, ни на природу подавляющего большинства образующихся соединений.
Бензол вступает в следующие реакции:
Нитрование.
Нитрующие агенты HNO3, HNO3/H2SO4, HNO3 и CH3COOH, HNO3/(СН3СО)2О, NO2BF4 и др.
Природа нитрующих агентов:
Условия, температура, концентрация.
Галогенирование.
Одним из наиболее часто используемых катализаторов является безводный хлорид алюминия. Функция катализатора состоит в связывании с галогеном.
Сульфирование.
Для сульфирования часто применяется серная кислота, содержащая избыток SO3.
кислотно-основное равновесие между двумя молекулами серной кислоты.
Хотя серный ангидрид не несет положительного заряда, но он обладает дефицитом электронов, и, следовательно, является кислотой.
Поскольку бензолсульфокислота - сильная кислота, то она сильно диссоциирует. Реакция сульфирования - обратимая. При взаимодействии бензолсульфокислоты с перегретым паром при 1800 С образуется бензол.
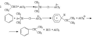
Алкилирование по Фриделю-Крафтсу.
Принято два возможных механизма реакции:
Во втором случае можно предполагать, что электрофилом служит алкильная группа полырного комплекса AlCl3 с алкилгалогенидом.
Реакции окисления.
1). Бензольное кольцо в обычных условиях окисляется с трудом. При действии кислорода воздуха на бензол в присутствии V2O5 (пятиокись ваннадия) при температуре 4000С получается малеиновый ангидрид.
2). Окисление алкилпроизводных бензола идет с образованием карбоксилсодержащих бензольных производных:
3). Озонирование.
4). Каталитическое окисление О2 в присутствии медного катализатора.
Правила ориентации в бензольном кольце
Введение заместителя в молекулу бензола требует ответа на два вопроса:
1. Какое влияние оказывает заместитель на скорость реакции - затрудняет или ускоряет?
2. Куда он направляет электрофильную частицу Е+, в какое положение?
Эти вопросы связаны с перераспределением электронной плотности в бензольном кольце (I-эффект и С-эффект).
Примеры нитрования бензола, нитробензола, толуола.
Рассмотрим два типа заместителей:
|
+ I-эффект s, p -гиперконъюгация сверхсопряжение + С |
- I-эффект - С |
|
Донор (увеличение электр. плотности) активизирует |
Акцептор (уменьшение электр. плотности) деактивизирует |
|
|
|
Ряд активности:
NH2 > OH > OR > Cl > I > Br > CH3; COOH > SO3H > NO2.
Ориентация:
Особенности влияния галогенов.
Галогены являются о-,п-ориентантами, но в то же время дезактивируют кольцо.
Влияние заместителей в ядре на электрофильное замещение.
|
орто-, пара- Ориентанты |
мета-Ориентанты |
|
Активирующие |
Дезактивирующий |
|
|
|
|
|
|
|
|
|
|
|
|
|
|
|
|
|
|
|
| |
|
Дезактивирующие |
|
|
|
|
