Элементы d-блока периодической системы
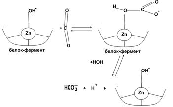
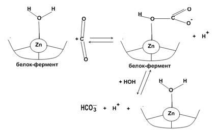
Н2О + СО2 ↔ Н2СО3 ↔ Н+ + НСО3¯ (механизм "цинк-вода")
ОН¯ + СО2 ↔ НСО3¯ (механизм "цинк-гидроксид")
Координационное число цинка 4. Три координационные места заняты аминокислотами, четвертая орбиталь связывает воду или гидроксильную группу.
Механизм действия:
Обратимая гидратация CO2 в активном центре карбоангидразы
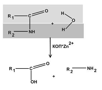
Карбоксипептидаза Zn содержащий фермент. Объектами концентрации являются печень, кишечник, поджелудочная железа.
Участвует в реакциях гидролиза пептидных связей.
Схема взаимодействия цинка карбоксипептидазы с субстратом ("цинк-карбонил"):
Схема реакции гидролиза пептидных связей карбоксипетидазы:
Алкогольдегидрогеназа это -содержащий фермент.
Б. Цитохромы, каталаза, пероксидаза.
Цитохром С. (см лекцию КС). Гемсодержащий фермент, имеет октаэдрическое строение.
Перенос электронов в окислительно-восстановительной цепи с участием этого фермента осуществляется за счет изменения состояния железа:
ЦХ*Fe3+ + ẽ ↔ ЦХ*Fe2+
Группы ферментов, катализирующие реакции окисления водородпероксидом, называются каталазами и пероксидазами. Они имеют в своей структуре гем, центральный атомом является Fe3+. Лигандное окружение в случае каталазы представлено АМК (гистидин, тирозин), в случае пероксидазы – лигандами являются белки. Концентрируются ферменты в крови и в тканях. Каталаза ускоряет разложение пероксида водорода, образующегося в результате реакций метаболизма:
Н2О2 + Н2О2 ↔каталаза↔ 2 Н2О + О2
Фермент пероксидаза ускоряет реакции окисления органических веществ (RH) пероксидом водорода:
Н2О2 + Н2О*RH ↔пероксидаза↔ 2 Н2О + RCOOH
В. СОД, ОКГ, ЦХО, ЦП.
СОД – супероксиддисмутаза – медьсодержащий белок. Ускоряет реакцию разложения супероксид-иона
, свободный радикал. Этот радикал вступая во взаимодействие с компонентами клети разрушает ее. СОД переводит супероксид-ион
в пероксид водорода. Который, в свою очередь, разлагается в организме под действием фермента каталазы.
Схематически процесс можно представить:
ОКГ – оксигеназы – ферменты, активирующие молекулу кислорода, которая участвует в процессе окисления органических соединений. Оксигеназы присоединяют оба атома кислорода с образованием пероксидной цепочки.
Механизм действия оксигеназ можно представить следующим образом:
Цитохромоксидаза – ЦХО – важнейший дыхательный фермент.
Катализирует завершающий этап тканевого дыхания. В ходе каталитического процесса степень окисления меди ЦХО обратимо изменяется: Cu2+↔Cu1+.
Окисленная форма ЦХО (Cu2+) принимает электроны, переходя в восстановленную форму (Cu1+), окисляющуюся молекулярным кислородом, который сам при этом восстанавливается.
Затем кислород принимает протоны из окружающей среды и превращается в воду. Схема действия ЦХО:
Церулоплазмин – ЦП – медьсодержащий белок содержится в плазме млекопитающих. ЦП содержит 8 атомов меди на 1 молекулу белка. ЦП участвует в окислении железа:
![]()
Параллельно идет процесс окисления протонированных субстратов (RH) с образованием свободнорадикальных промежуточных продуктов:
HR → R + H+ + ẽ
В то же время ЦП катализирует восстановление кислорода до воды:
О2 + 4ẽ + 4Н+ →ЦП→ 2Н2О
Выполняя транспортную функцию, ЦП регулирует баланс меди и обеспечивает выведение избытка меди из организма.
7. Железо, кобальт, хром, марганец, цинк, медь, молибден в организме: содержание, биологическая роль
|
Элемент |
Содержание в организме (взрослого человека) |
Биологическая роль |
|
Fe |
5 г (около 70% в гемоглобине) |
Входит в состав гемоглобина, т.е. принимает участие в транспорте кислорода, обеспечивает процесс дыхания живых организмов. Входит в состав ферментов цитохромов, каталазы, пероксидазы. В связанной форме находится в некоторых белках, выполняющих роль переносчиков железа. |
|
Co |
Входит в состав витамина В12. Влияет на углеводный, минеральный, белковый и жировой обмен, принимает участие в кроветворении. | |
|
Cr |
6 мг |
Биогенный элемент. |
|
Mn |
0,36 моль |
Входит в состав ферментов аргиназа, холинестераза, фосфоглюкомутаза, пируваткарбоксилаза и д.р. Участвует в синтезе витаминов С и В, доказано его участие в синтезе хлорофилла. Участвует в процессе аккумуляции и переноса эрги. |
|
Zn |
Входит в состав ферментов катализирующих гидролиз пептидов, белков, некоторых эфиров и альдегтдов. | |
|
Cu |
1,1 ммоль |
Входит в состав ферментов окигеназ и гидролаз. Участвует в кроветворении. |
|
Mo |
Входит в состав ферментов, катализирующих ОВР: ксанингидрогеназа, ксантиноксидаза, альдегидоксидаза и д.р. Важный микроэлемент для растений: принимает участие в мягкой фиксации азота. |
