Энтальпия и ее отношение к теплоте химической реакции. Типы химических связей
Введение
Тепловой эффект химической реакции или изменение энтальпии системы вследствие протекания химической реакции.
Химическое равновесие. Константа химического равновесия
Влияние внешних условий на химическое равновесие
Влияние давления и концентрации
Влияние температуры на положение равновесия
Типы химических связей
Список используемой литературы
Тепловой эффект химической реакции или изменение энтальпии системы вследствие протекания химическойреакции
Чтобы тепловой эффект являлся величиной, зависящей только от характера протекающей химической реакции, необходимо соблюдение следующих условий:
· Реакция должна протекать либо при постоянном объёме Qv(изохорный процесс), либо при постоянном давлении Qp(изобарный процесс).
· В системе не совершается никакой работы, кроме возможной (при изобарном процессе) работы расширения.
Если реакцию проводят в стандартных условиях при Т = 298 К и Р = 101.3 кПа, тепловой эффект называют стандартным тепловым эффектом реакции или стандартной энтальпией реакции ΔHrO.
Для правильного понимания понятия необходимо знать следующие понятия.
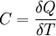
Теплоёмкость тела (обозначается с) — физическая величина, определяющая отношение бесконечно малого количества теплоты ΔQ, полученного телом, к соответствующему приращению его температуры ΔT. Единица измерения теплоёмкости в системе СИ — Дж/К.
Если же говорить про теплоёмкость произвольной системы, то ее уместно формулировать в терминах термодинамически — теплоёмкость есть отношение малого приращения количества теплоты Q к малому изменению температуры T:
Удельная теплоемкость вещества определяется как количество тепловой энергии, необходимой для повышения температуры одного килограмма вещества на один градус по Цельсию.
Формула расчёта удельной теплоёмкости [Дж/(кг• К)]:
Молярная теплоёмкость — это теплоёмкость одного моля вещества(количество теплоты, необходимое для нагревания тела массой 1 кг на 1 К) Часто употребляется обозначение C. Однако буквой C часто обозначается и простая теплоёмкость.
Связь с удельной теплоёмкостью:
С= M•C,
где с — удельная теплоёмкость, М — молярная масса [Дж/(К•моль)].
Средняя молярная теплоемкость - количество теплоты, необходимое для нагревания 1 моль вещества на ΔТ.
Для расчета энтальпий и энтропии вещества используют интегралы от теплоемкости:
Стандартная энтальпия образования(ΔHfO).
Стандартная теплота образования – это тепловой эффект реакции образования одного моля вещества из простых веществ, его составляющих, находящихся в устойчивых стандартных состояниях. Обозначается ΔHfO.
Термохимические эффекты можно включать в химические реакции. Химические уравнения в которых указано количество выделившейся или поглощенной теплоты, называются термохимическими уравнениями. Реакции, сопровождающиеcя выделением тепла в окружащию среду имеют отрицательный тепловой эффект и называются экзотермическими. Реакции, сопровождающиеся поглощением тепла имеют положительный тепловой эффект и называются эндотермическими. Тепловой эффект обычно относится к одному молю прореагировавшего исходного вещества, стехиометрический коэффициент которого максимален.
Стандартная энтальпия сгорания(ΔHгоро).
Тепловой эффект реакции сгорания одного моля вещества в кислороде до образования оксидов в высшей степени окисления. Теплота сгорания негорючих веществ принимается равной нулю.
Химическое равновесие. Константа химического равновесия
Протекание самопроизвольного процесса в термодинамической системе сопровождается уменьшением свободной энергии системы (dG < 0, dF < 0). Очевидно, что рано или поздно (напомним, что понятие "время" в термодинамике отсутствует) система достигнет минимума свободной энергии. Условием минимума некоторой функции Y = f(x) является равенство нулю первой производной и положительный знак второй производной: dY = 0; d2Y > 0. Таким образом, условием термодинамического равновесия в закрытой системе является минимальное значение соответствующего термодинамического потенциала:
Изобарно-изотермические (P = const, T = const):
ΔG = 0 dG = 0, d2G > 0
Изохорно-изотермические (V = const, T = const):
ΔF = 0 dF = 0, d2F > 0
Состояние системы с минимальной свободной энергией есть состояние термодинамического равновесия:
Термодинамическим равновесием называется такое термодинамическое состояние системы, которое при постоянстве внешних условий не изменяется во времени, причем эта неизменяемость не обусловлена каким-либо внешним процессом.
Учение о равновесных состояниях – один из разделов термодинамики. Далее мы будем рассматривать частный случай термодинамического равновесного состояния – химическое равновесие. Как известно, многие химические реакции являются обратимыми, т.е. могут одновременно протекать в обоих направлениях – прямом и обратном. Если проводить обратимую реакцию в закрытой системе, то через некоторое время система придет в состояние химического равновесия – концентрации всех реагирующих веществ перестанут изменяться во времени. Необходимо отметить, что достижение системой состояния равновесия не означает прекращения процесса; химическое равновесие является динамическим, т.е. соответствует одновременному протеканию процесса в противоположных направлениях с одинаковой скоростью. Химическое равновесие является подвижным – всякое бесконечно малое внешнее воздействие на равновесную систему вызывает бесконечно малое изменение состояния системы; по прекращении внешнего воздействия система возвращается в исходное состояние. Ещё одним важным свойством химического равновесия является то, что система может самопроизвольно прийти в состояние равновесия с двух противоположных сторон. Иначе говоря, любое состояние, смежное с равновесным, является менее устойчивым, и переход в него из состояния равновесия всегда связан с необходимостью затраты работы извне.
Количественной характеристикой химического равновесия является константа равновесия, которая может быть выражена через равновесные концентрации С, парциальные давления P или мольные доли X реагирующих веществ. Для некоторой реакции
соответствующие константы равновесия выражаются следующим образом:
(I.78)
(I.79)
