Борорганические соединения
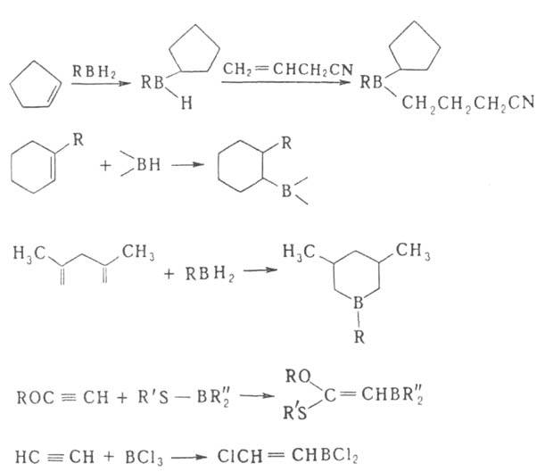
(Кат. - соед., содержащие группу В—Н.) Эта р-ция используется для изомеризации неконцевых олефинов в
олефины, метилцикленов в метиленцикланы, для синтеза первичных спиртов и т.п., напр.:
7. Преобразование заместителей при атоме В, т.е. их гидрирование, галогенирование, нитрование, циклизация и др. Один из примеров - циклизация бензоиламиномегилборной к-ты:
Бромированием, нитрованием, окислением и т.д. фенил-и толилборной к-т синтезированы многочисл. функциональные производные фенилборной к-ты. Группы В(ОН)2 и ВС12 ориентируют замещение в бензольном кольце в мета-положение, напр. для В(ОН)2 константы
и
заместителя соотв. - 0, 01 и +0, 013.
Наиб. распространенные способы получения борорганических соединений: 1. Переметаллирование - действие орг. соед. Li, Na, Mg, А1 и др. металлов (М) на ВХ3, RBX2, R2BX (X = Н, Hal, OR', SR', NR'), напр.:
2. Окислит-восстановит. р-ция ВНа13 с АгН или Arl:
3. Гидроборирование, а также аллил-, карбо-, тио- или галоборирование олефинов, диенов, ацетиленов, алленов и циклопропанов:
Гидроборирование-цис-присоединение в-в, содержащих группу ВН, к кратной связи. Гидроборирующими агентами служат диборан (в эфирах), комплексы борана с ТГФ, аминами, диметилсульфидом, а также получаемые из Н3В*ТГФ дициклогексилборан, бис-(1, 2-диметилпропил)боран (так наз. дисиамилборан), 1, 1, 2-триметилпропилборан (тексилборан), катехолборан (ф-ла I); 9-борабицикло-[З.З.Пнонан (9-ББН; II), а также диизопинокам-феилооран(III)-один из широко распространенных хиральных реагентов в орг. химии.
4. Обменные р-ции, катализируемые соед., содержащими группу В—Н, напр.: R3B + BX3 - > R2BX+ RBX2, где X = Hal, OR', SR', NR2 и др.
5. Переалкилирование триалкилборанов высшими олефинами, ацетиленами или диенами (при 150-200°С):
6. Пиролиз алкил- или арилборанов, Триалкилбораны, имеющие хотя бы в одном из заместителей больше трех атомов С, при 200-300 °С превращаются в борацикланы (с промежуточным образованием диалкилборанов и соответствующих олефинов), напр.:
7. Диборирование олефинов, ацетиленов, циклопропанов и ароматич. соед. производными диборана, напр.:
8. Деалкилирование или деарилирование оргатюборанов, напр. при их взаимод. с галогенами и неорг. к-тами (см. выше).
Борорганические соединения широко применяются в орг. синтезе. Органобораны алкилируют, арилируют и винилируют галоформы, тио-соед. и
галогенкарбонильные соед. в присут. оснований, генерирующих карбанион. Последний реагирует с органобораном с образованием
галоген- или
тиоалкилсодержащего борорганического соединения, претерпевающего 1, 2-анионотропную перегруппировку:
Эти р-ции применяются в синтезе вторичных и третичных спиртов, альдегидов и кетонов.
Эфиры
галогенуксусной к-ты и
бромметилсульфонильные эфиры алкилируются и арилируются в присут. (СН3)3СОК,
галогеннитрилы - в присут. 2, 6-ди-трет-бутилфенолята К:
Используются также органобораты меди Cu[R3BCH3] и комплексы RCu*BF3, в частности, для
алкилирования
непредельных альдегидов и кетонов, производных акриловой и пропиоловой (ацетиленкарбоновой) к-т.
В ряде случаев R3B (R-Alk, циклоалкил) применяются для повышения селективности р-ций, напр.:
Производные диборана (R2BH)2, (RBH2)2, их комплексы R2BH*L, RBH2*L [где R-Alk, Ar, OR', SR', Hal; L-диэтиловый эфир, ТГФ, (CH3)2S, R3N, пиридин и др.], а также органогидробораты M[R3BH] (R = Н, Alk, C6H5, мезитил;
К2В - борациклоалкил; К3В - борафеналил и др.) - селективные восстановители функциональных групп и кратных связей. Соединения типа
(обозначается N2226B2226) - апроточные высокополярные р-рители.
Применяют борорганические соединения также для получения бороводородов и карборанов; как добавки к моторным и реактивным топливам, смазочным маслам и красителям; как катализаторы и сокатализаторы полимеризации непредельных соед. и окисления углеводородов; антиоксиданты, бактерициды, фунгициды; реагенты в хим. анализе, напр. калигност NaB(C6H5)4 и цезигност Na[(С6Н5)3ВСК] - для определения и выделения К+ , Rb+ , Cs+ , NH4+, аминов и антибиотиков; флавогност (С6Н5)2ВОСН2СН2NН2 - для определения, идентификации и характеристики флавонов и выделения антибиотиков. Некоторые борорганические соединения используют в медицине, в частности для нейтронной терапии раковых опухолей.
Список литературы
Михайлов Б. М., Бубнов Ю. Н., Борорганические соединения в органическом синтезе, М., 1977;
Пелтер А., Смит К., в кн.: Общая органическая химия, пер. с англ., т. 6, ч. 14, М., 1984, с. 233-537;
