Влияние природы углеродных наполнителей на свойства и эксплуатационные характеристики обожженных анодов
На основании результатов исследований можно сделать вывод, что пековые коксы имеют более плотную структуру и превосходят нефтяные по показателям объемного и насыпного весов и прочности при близких значениях электропроводности.
Также можно отметить специфичные свойства нефтяного кокса, прокаленного на СПЗ «Сланцы», который при одинаковой с нефтяными коксами действительной плотности имеет похожие с пековыми коксами объемно-структурные характеристики. Вероятно, это объясняется свойствами коксов, которые шихтуются перед прокаливанием, и особенностями технологии процесса прокалки кокса в ретортных печах.
Для технологии производства обожженных анодов, как и для других видов прессованной углеродной продукции, очень важным является правильный подбор упругих и пластических свойств кокса-наполнителя. Данные свойства характеризуются коэффициентом упругого расширения (Кур) и коэффициентом релаксации (Крел). Методика и устройство для определения коэффициентов разработана А. Ф. Красюковым [3].
Известно, что чем выше способность материала к релаксации (пластичность), тем он лучше уплотняется без разрушения частиц при наложении давления. В то же время, чем больше упругое расширение кокса, тем в большей степени спрессованный материал стремится вернуться в исходное состояние после снятия нагрузки. Понятно, что с повышением Кур кокса увеличивается вероятность расслоения образца и образования трещин.
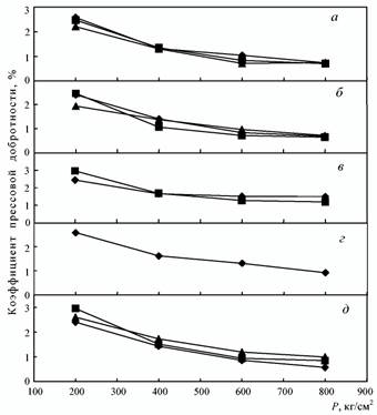
Учитывая разнонаправленность изменения Крел и Кур при наложении давления прессования, А.Ф. Красюков ввел понятие коэффициента прессовой добротности (Адц), характеризующего преобладание пластических свойств над упругими.
На третьем этапе, используя указанный подход к оценке технологических свойств наполнителей, проводили изучение прессовых характеристик прокаленных коксов (фракция 1,0—1,5 мм) в интервале давления прессования 200—800 кг/см2. При увеличении поверхности шлифов коксов в 1000 раз также изучалась их структура.
В интервале давления от 200 до 600 кг/см2 (см. рис. 2) происходит значительное снижение Кпд на основании чего можно сделать вывод, что в данном интервале давление прессования может влиять на физические свойства «зеленых» и обожженных образцов. При более высоком давлении от 600 до 800 кг/см2 зависимости становятся более монотонными и значения отличаются друг от друга незначительно. В указанном интервале начинает происходить раздавливание материала, вследствие этого нарушается начальный фракционный состав шихты и возникают предпосылки к возникновению трещин в «зеленых» образцах за счет сил упругого расширения после окончания прессования.
Установлено, что нефтяные коксы обладают меньшим АДЦ, за исключением кокса СПЗ «Сланцы», что указывает на их худшие прессовые характеристики и увеличение вероятности возникновения трещин и расслоений. Отмечены близкие значения АГВД пековых коксов и смеси нефтяных СПЗ «Сланцы», что вполне согласуется с полученными данными при изучении объемно-структурных характеристик коксов.
Исследование структуры коксов проводили на оптическом микроскопе. На рис. 3 светлые участки соответствуют более близкой к поверхности части кокса. Полученные снимки свидетельствуют о выраженной изотропной структуре пековых коксов, в отличие от нефтяных, имеющих более анизотропную микроструктуру с существенной долей волокнистых составляющих.
Рис. 2. Зависимость коэффициента прессовой добротности (ЛГ„д) °т давления прессования (Р):
а — кокс Пермского НПЗ, » — 4гейСт = 2,02; • — йдейст = 2,05; А — йдейст = 2,07;
б — кокс Ангарского НПЗ, » — йдейст = 2,02; • — йдейсг = 2,05; А — йдейсг = 2,07;
в — кокс СПЗ «Сланцы», » — йдейст = 2,03; • — йдейст = 2,07;
г — кокс производства ЮАР, » — йдейст = 1,99;
д — смесь коксов с ИркАЗа, » — 4вйст = 1>98; • — 4»cr = 2,00; А — йдейст = 2,02
Кокс СПЗ «Сланцы» отличается большими областями мелкопористой структуры (светлые участки) в сравнении с другими нефтяными коксами. В то же время, в сравнении с исковыми коксами, поры у этого кокса более крупные и вытянутые. Согласно имеющимся представлениям более упругими свойствами будет обладать материал, который имеет заметную долю волокнистой структуры. Этим объясняются более низкие значения Кт нефтяных коксов Ангарского и Пермского НПЗ.
На четвертом этапе изучались физико-химические свойства «зеленых» и обожженных образцов на основе представленных коксов, прокаленных предварительно при разных температурах. Гранулометрический состав шихты и удельная поверхность пыли, кроме содержания связующего, задавались близкими для всех образцов. Количество пека для пековых и нефтяных коксов изменялось в соответствии с их различной пористостью. Для пековых коксов содержание связующего составляло 15%, для нефтяных 16%. Смешивание шихты, прессование и обжиг производили при равных параметрах для всех видов коксов. Результаты физико-химических испытаний представлены в табл. 2.
Обожженные образцы на основе пековых коксов характеризуются меньшей пористостью, более высокими значениями кажущейся плотности, их электропроводность, механическая прочность, теплопроводность и модуль упругости также выше, чем у образцов из нефтяных коксов.
В то же время химическая стойкость в среде углекислого газа у образцов на основе пековых коксов с действительной плотностью 2,00 и 2,02 г/см3 значительно ниже, чем у образцов на основе пермского и ангарского коксов. Однако при плотности 1,98 г/см3 для смеси коксов ИркАЗа и 1,99 г/см3 для кокса ЮАР показатели стойкости приближаются к значениям нефтяных коксов.
Повышенную химическую активность образцов на основе смеси пековых коксов ИркАЗа можно объяснить относительно высоким содержанием отдельных элементов в зольных примесях, характером поровой структуры, высоким коэффициентом термического линейного расширения (КТЛР) самих коксов, который повышался с ростом действительной плотности коксов. Ранее было установлено [4], что чем выше КТЛР, тем интенсивнее протекает процесс образования микротрещин на границе «кокс-наполнитель— кокс из связующего», что повышает реакционную способность материала.
Отрицательное влияние зольных примесей наиболее ярко проявилось на примере нефтяного кокса СПЗ «Сланцы». При высокой зольности и сравнительно большом содержании натрия, образцы имели самую высокую реакционную способность в токе СО2.
На основании полученных данных можно сделать вывод, что температура прокалки для пековых коксов не должна быть высокой и обеспечивать действительную плотность не выше 1,98 г/см3. В этом случае обожженные аноды могут иметь не только хорошие электромеханические свойства, но и удовлетворительные показатели химической стойкости.
Специалистами R&D Carbon было определено значительное влияние на величину показателя химической стойкости поверхностных свойств пылевой фракции, а также ее количества в так называемой «связующей матрице» [5]. В связи с этим на пятом этапе была исследована возможность повышения химической стойкости образцов за счет оптимизации свойств и состава «связующей матрицы».
