Здоровье современных подростков
3 балла – первый ответ;
1 балл – второй ответ;
0 баллов – третий ответ.
Приложение 2
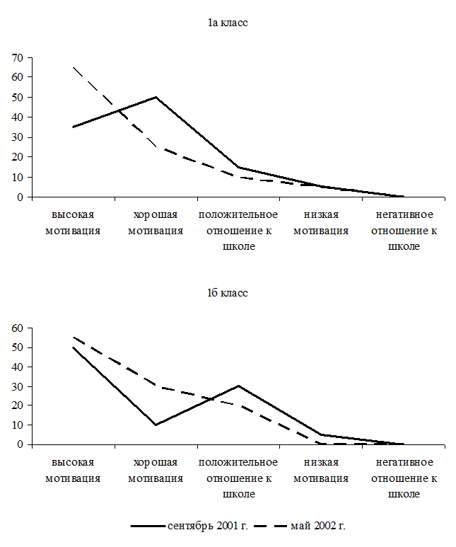
Школьные мотивации учащихся 1-х классов Ладбалковской средней
общеобразовательной школы
приложение 3
КАРТА ОБСЛЕДУЕМОГО
Фамилия Имя _
Дата рождения _ Месторождения _
Национальность Отец _ Мать _
Адрес школы _ класс
Домашний адрес _
Дата обследования _ полных лет
Заболевания _
Кол-во пропущенных дней по причине болезни группа здоровья
Антропометрические данные:
Длина тела Масса тела Длина туловища
Длина плеча Длина ноги Ширина плеч _
Окружность плеча _ Плечевая дуга _ Ширина таза
Окружность бедра _ ОКГ: в покое _ на вдохе _ на выдохе
Экскурсия грудной клетки _
Тип конституции _
Весо-ростовой индекс _ Росто-весовой индекс _
Уровень физического развития _
Грудино-лопаточный тест Грудино-плечевой тест _
Состояние осанки _
Состояние зрительного аппарата
Время бега на дистанции 30м/с _ Челночный бег 3*10м/с
Сгибание и разгибание рук в упоре лёжа, кол-во раз
Метание набивного мяча весом 1кг из исходного положения сед ноги врозь, см
Подъём в сед из положения лёжа, кол-во раз
Наклон вперёд из положения сидя (гибкость), см Бег на 1000м, м/с _
Артериальное давление в покое: САД _ ДАД ПД _
ЧСС в покое
Артериальное давление после ортопробы: САД _ ДАД ПД _
ЧСС после ортопробы _
Проба Мартинэ Проба Штанге
Величина АП Величина КЗ _
Тест МПК: ЧСС до нагрузки ЧСС после
Величина МПК _ МПК/кг _
Уровень тревожности _ Адекватность самооценки (АСО)
Оценка школьной мотивации _
Длительность индивидуальной минуты _
Состояние артериального давления и возраста (индекс А)
|
САД возраст |
Диастолическое артериальное давление (ДАД) | |||||||||||
|
40 |
45 |
50 |
55 |
60 |
65 |
70 |
75 |
80 |
85 |
90 |
95 | |
|
80 |
144 |
148 |
152 |
156 |
160 |
164 |
168 |
172 |
176 |
190 |
184 |
188 |
|
85 |
151 |
155 |
159 |
163 |
167 |
171 |
175 |
179 |
183 |
187 |
191 |
195 |
|
90 |
158 |
162 |
166 |
170 |
174 |
178 |
182 |
186 |
190 |
194 |
198 |
202 |
|
95 |
165 |
169 |
173 |
177 |
181 |
185 |
189 |
193 |
197 |
201 |
205 |
209 |
|
100 |
172 |
176 |
180 |
184 |
188 |
199 |
196 |
900 |
204 |
208 |
212 |
216 |
|
1005 |
179 |
183 |
187 |
191 |
195 |
199 |
203 |
207 |
211 |
215 |
219 |
223 |
|
110 |
186 |
190 |
194 |
199 |
202 |
206 |
210 |
214 |
218 |
222 |
226 |
230 |
|
115 |
193 |
197 |
201 |
205 |
209 |
213 |
217 |
221 |
225 |
229 |
233 |
237 |
|
120 |
200 |
204 |
208 |
212 |
216 |
220 |
224 |
228 |
232 |
236 |
240 |
244 |
|
125 |
207 |
211 |
215 |
219 |
223 |
227 |
231 |
235 |
239 |
243 |
247 |
251 |
|
130 |
214 |
218 |
222 |
226 |
230 |
234 |
238 |
240 |
246 |
250 |
254 |
258 |
|
135 |
221 |
225 |
229 |
233 |
937 |
241 |
245 |
249 |
253 |
257 |
261 |
265 |
|
140 |
228 |
232 |
236 |
240 |
244 |
248 |
259 |
256 |
260 |
264 |
268 |
272 |
|
145 |
235 |
239 |
243 |
247 |
251 |
255 |
259 |
263 |
267 |
271 |
275 |
279 |
|
150 |
249 |
246 |
250 |
254 |
258 |
269 |
266 |
270 |
274 |
278 |
289 |
286 |
|
155 |
249 |
253 |
257 |
261 |
265 |
269 |
273 |
277 |
281 |
285 |
289 |
293 |
|
160 |
256 |
260 |
264 |
268 |
272 |
276 |
280 |
284 |
288 |
292 |
296 |
300 |
