Золотое сечение – одно из ярких проявлений гармоничности в природе
Рис. 3. Золотой прямоугольник
Тем самым будет построен пример совершенного квадрируемого прямоугольника бесконечного порядка. Точки, делящие стороны прямоугольников в среднем и крайнем отношении, лежат на логарифмической спирали, закручивающейся внутрь.
Полюс спирали лежит на пересечении пунктирных диагоналей. Разумеется, «вращающиеся квадраты», как их принято называть, могут не только закручивать, но и раскручивать спираль. Для этого лишь требуется строить не уменьшающиеся, а все увеличивающиеся квадраты. Логарифмическая спираль – единственный тип спирали, не меняющей своей формы при увеличении размеров. Если в логарифмической спирали из центра О провести прямую, то образующиеся отрезки ОА, ОВ, ОС, ОD и т. д., полученные при пересечении прямой с витками спирали, образуют геометрическую прогрессию, то есть ОА/ОВ=ОВ/ОС=ОС/OD=…= m, где m – постоянное число.
Отрезки радиуса, заключенного между последовательными витками спирали, также образуют прогрессию с отношением АВ/ВС=ВС/СD=…=n. Частным случаем спирали является такая, которая отвечает значению n, равному Ф, т. е. золотой пропорции. Такая спираль называется «кривой гармонического возрастания».
Согласно современным представлениям золотое деление – это асимметричная симметрия. В науку о симметрии вошли такие понятия, как статическая и динамическая симметрия. Статическая симметрия характеризует покой, равновесие, а динамическая – движение, рост. Так, в природе статическая симметрия представлена строением кристаллов, а в искусстве характеризует покой, равновесие и неподвижность. Динамическая симметрия выражает активность, характеризует движение, развитие, ритм, она – свидетельство жизни. Статической симметрии свойственны равные отрезки, равные величины. Динамической симметрии свойственно увеличение отрезков или их уменьшение, и оно выражается в величинах золотого сечения возрастающего или убывающего ряда.
Числа Фобиначчи
В математике хорошо известна последовательность чисел 1,1,2,3,5,8,13,21, ., называемая числами Фибоначчи (ряд Фибоначчи) и образуемая по рекуррентной формуле:
где n - натуральное число и начальные члены равны 1 и 1.
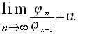
Особенность последовательности чисел состоит в том, что каждый ее член, начиная с третьего, равен сумме двух предыдущих 2 + 3 = 5; 3 + 5 = 8; 5 + 8 = 13, 8 + 13 = 21; 13 + 21 = 34 и т.д., а отношение смежных чисел ряда приближается к отношению золотого деления. Так, 21 : 34 = 0,617, а 34 : 55 = 0,618. Это отношение обозначается символом Ф. Только это отношение - 0,618 : 0,382 - дает непрерывное деление отрезка прямой в золотой пропорции, увеличение его или уменьшение до бесконечности, когда меньший отрезок так относится к большему, как больший ко всему.
Ярким примером проявления чисел Фибоначчи в живой природе является филлотаксис Французский математик Бине показал, как связаны числа Фибоначчи и основание золотой пропорции:
Эта формула интересна тем, что справа находятся иррациональные числа α и
, а слева всегда целое. Нужно отметить асимметричность знаменателя правой части формулы 5. Из последней формулы легко получить следующее соотношение :
которое вместе с формулами показывает глубокую связь между числами Фибоначчи и основанием золотой пропорции. В этих можно заметить почти «мистическое» присутствие числа 5.
Если в рекурсивной последовательности, образуемой по формуле 4, задать произвольные начальные члены, то предел отношения двух соседних членов этого ряда все равно будет стремиться к α (формула 6). Даже некоторое количество арифметических ошибок в вычислении φi при 1<i<<n, не повлияют на этот результат.
Основание золотой пропорции является инвариантом рекурсивных соотношений 4 и 6. В этом проявляется «устойчивость» золотого сечения, одного из принципов организации живой материи.
Так же, основание золотой пропорции является решением двух экзотических рекурсивных последовательностей (рис 4.)
|
|
|
Рис. 4 Рекурсивных последовательности
Фибоначчи так же занимался решением практических нужд торговли: с помощью какого наименьшего количества гирь можно взвесить товар? Фибоначчи доказал, что оптимальной является такая система гирь: 1, 2, 4, 8, 16 . Ряд Фибоначчи (1, 1, 2, 3, 5, 8) и «двоичный» ряд гирь 1, 2, 4, 8, 16 . на первый взгляд совершенно разные. Но алгоритмы их построения весьма похожи друг на друга: в первом случае каждое число есть сумма предыдущего числа с самим собой 2 = 1 + 1; 4 = 2 + 2 ., во втором – это сумма двух предыдущх чисел 2 = 1 + 1, 3 = 2 + 1, 5 = 3 + 2
Ряд Фибоначчи мог бы остаться только математическим казусом, если бы не то обстоятельство, что все исследователи золотого деления в растительном и в животном мире, не говоря уже об искусстве, неизменно приходили к этому ряду как арифметическому выражению закона золотого деления.
Присутствие золотой пропорции и чисел Фибоначчи в живой природе позволяют говорить о некотором едином механизме их возникновения. Числа Фибоначчи и золотое сечение являются математическим описанием некоторого формообразующего процесса. На микроуровне (целочисленном) количественная характеристика этого процесса проявляется как числа Фибоначчи, а на макроуровне (статистическом) как основание золотой пропорции - число α. Если такой формообразующий процесс является законом живой природы, то с его помощью можно объяснить наличие золотой пропорции в соотношении частей тела человека и животных, а также явление филлотаксиса.
Филлотаксис
Характерной чертой строения растений и их развития является спиральность. Еще Гете, который был не только великим поэтом, но и естествоиспытателем, считал спиральность одним из характерных признаков всех организмов, проявлением самой сокровенной сущности жизни. Спирально закручиваются усики растений, по спирали происходит рост ткани в стволах деревьев, по спирали расположены семечки в подсолнечнике, спиральные движения (нутации) наблюдаются при росте корней и побегов. Очевидно, в этом проявляется наследственность организации растений, а ее корни следует искать на клеточном и молекулярном уровнях.
