Иммунологическая специфичность
На практике часто условно подразумевают, что если константа равновесия процесса комплексообразования больше, чем 108 л/моль, то антитела являются высокоаффинными.
Обычный диапазон изменения аффинности антител составляет 105—10й М-1, что соответствует изменению свободной энергии связывания в области —24-.—52 кДж/моль. Максимальные значения констант связывания характерны для антигенов, обладающих ярко выраженными гидрофобными свойствами или же взаимодействующих с активным центром антитела достаточно большой областью молекулы. Наименьшей эффективностью взаимодействия характеризуются антитела против углеводов.
Таким образом, количественно специфичность можно оценить, измеряя изменение свободной энергии связывания или внутреннюю аффинность. В практических целях иногда очень важно провести сравнение специфичности взаимодействия ряда антигенов с антителами, индуцированными одним из этих антигенов. Относительная специфичность в этих случаях может быть выражена как отношение внутренних аффинностей взаимодействия с антителами рассматриваемого антигена и антигена, индуцировавшего антитела.
Подобного рода проблемы очень часто возникают, например, при разработке методов иммуноферментного анализа лекарственных препаратов, стероидных и белковых гормонов. В зависимости от способа получения антисыворотки антитела могут быть специфичны либо только к одному лекарственному препарату, либо к целой группе близких по структуре химических соединений. В этих случаях распространен способ оценки специфичности, основанный на сравнении связывания антител в данной концентрации одного и того же количества гомологичного и гетерологичного гап-тена. При этом концентрация образовавшегося иммунного комплекса для гомологичного гаптена принимается равной единице, а связывание всех гетерологичных гаптенов оценивается как доля от соответствующего связывания гомологичного гаптена.
Представляет большой интерес и оценка специфичности различных популяций антител, например различных типов моиокло-нальных антител, продуцируемых разными клонами клеток. Такое сравнение может быть проведено на основании сопоставления значений внутренней аффинности: антитела с более высокой специфичностью характеризуются более высоким значением константы внутренней аффинности.
2. Взаимодействие антигена с субпопуляцией антител
Ранее для количественного описания эффективности взаимодействия антиген — антитело за основу была взята простая модель взаимодействия одновалентного антигена и одновалентного антитела. Но так как молекула антитела имеет несколько антигенсвязывающих центров и, кроме того, способна взаимодействовать с несколькими антигенными детерминантами молекулы антигена, то такая характеристика образования иммуно-химического комплекса является весьма упрощенной.
Для описания более сложного реально существующего процесса взаимодействия поливалентного антитела с поливалентным антигеном введен термин авидность, или функциональная аффинность. В этом случае простые моновалентные взаимодействия характеризуются «внутренним сродством», или «внутренней аффинностью». С биологической точки зрения именно функциональная аффинность играет основную роль в иммунном ответе на инфицирование организма вирусами или бактериями, имеющими на своей поверхности повторяющиеся антигенные детерминанты.
Процесс образования комплекса антиген — антитело состава 1:1, в котором реализуются поливалентные взаимодействия, также является обратимым и может быть охарактеризован константой комплексообразования. С энергетической точки зрения образование поливалентного комплекса намного выгоднее, чем моновалентного. Например, было показано, что IgG-антитела с внутренней аффинностью к 2,4-динитрофенольному гаптену 107 л/моль имеют функциональную аффинность по отношению к комплексу ДНФ — фаг 4-174—1010 л/моль, т. е. бивалентные взаимодействия являются в 1000 раз более прочными, чем моновалентные.
Ранее полагалось, что присутствующие в системе антитела характеризуются одинаковой константой ассоциации с антигеном или же одинаковой энергией связывания. В качестве такой субпопуляции может выступать субпопуляция антител, продуцируемых одним клоном антителпродуцирующих клеток,— моноклональные антитела. ', ·
Синтезируемые в живом организме антитела гетерогенны по физико-химическим свойствам. Общая популяция антител иммунной сыворотки включает в себя антитела с различными значениями изменения свободной энергии взаимодействия с гаптеном, т. е. антитела различной аффинности; Схему взаимодействия- антигена с общей популяцией антител, представляющей совокупность субпопуляций, может быть представлена в следующем виде:
;
Для общей характеристики такой популяции антител по аффинности взаимодействия с антигеном используют некоторое среднее значение аффинности Ко для л-го числа субпопуляций. Как правило, истинная форма распределения антител по значениям констаит взаимодействия неизвестна и обычно определяемая тем или иным способом равновесная константа взаимодействия является некоторым эффективным параметром.
При разработке методов иммунохимического анализа, базирующихся на реакции антиген — антитело, знание физико-химических характеристик специфических взаимодействий очень важно, поскольку позволяет оценить чувствительность и специфичность метода, осуществить правильный подбор реагентов для анализа.
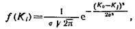
Так как образуемые в ответ на введение в организм антитела являются гетерогенными по константам связывания, средняя аффинность Ко— это, в действительности, некоторое среднее значение для неизвестного распределения частных констант Ki, где число з — неизвестно. Для характеристики получаемой антисыворотки. целесообразно ввести некоторую функцию распределения антител по аффинности. Простейшее приближение — нормальное распределение, описываемое функцией Гаусса:
Графическое представление функции Гаусса
где стандартное отклонение характеризует гетерогенность антител.
В иммунохимии распределение антител по константам часто описывают одним из приближений нормального распределения, предложенного Сипсом. Приближение Сипса отклоняется от нормального при /Со± or, и значительные отклонения наблюдаются при Кп±2у. Широкое распространение этой функции для описания распределения антител по константам связывания обусловлено его сходством с обычно используемыми простыми методами обработки результатов иммунохимических равновесий.
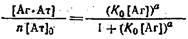
Функция Сипса применительно к взаимодействию антигена с антителом валентности з позволяет получить соотношение
где AO — средняя аффинность; а — индекс гетерогенности.
Распределение Сипса является симметричным и унимодальным и может быть полностью охарактеризовано средней константой аффинности Ко и индексом гетерогенности «а». Произвольное предположение о симметричном распределении антител по аффинности имеет свои ограничения. Истинная форма распределения остается неизвестной. Часто все же на практике используют распределение Сипса для описания гетерогенной популяции антител. В действительности распределение антител по К бывает несимметричным и мультимодальным, поэтому, строго говоря, распределение антител по аффинности нельзя аппроксимировать распределением Сипса.
