Ионный канал. Проводимость и проницаемость
Проводимость ионного канала зависит от двух факторов: во-первых, от той легкости, с которой ионы проходят через открытый канал. Это внутреннее свойство канала известно как проницаемость канала. Во-вторых, проводимость зависит от концентрации ионов около устьев канала. Ясно, что если ионы калия отсутствуют как внутри, так и снаружи клетки, то не может быть и тока. При этом становится не важно, какова проницаемость канала или насколько велик мембранный потенциал. Если присутствует всего несколько ионов калия, то, при одной и той же величине проницаемости и стандартном трансмембранном потенциале, ток через ионный канал будет гораздо меньше, чем при избыточной концентрации ионов калия. Эти взаимоотношения могут быть представлены следующим образом:
Открытый канал –> проницаемость.
Проницаемость + ионы –> проводимость.
В уже рассмотренных примерах ионного тока концентрации ионов калия были одинаковыми по обе стороны мембраны. Что произойдет, если мы сделаем концентрации этого иона в пипетке и в ванночке различными? Представим, что после получения конфигурации outside-out, концентрация калия в ванночке составляет 3 ммоль (подобно нормальной внеклеточной концентрации этого иона), а внутри электрода эта концентрация равняется 90 ммоль (подобно цитоплазматической концентрации). Если калиевый канал в мембране будет открыт, то ионы калия начнут двигаться из пипетки в ванночку. Такой ток будет происходить даже при отсутствии потенциала на пипетке, так как движущей силой для ионов калия является градиент концентраций. Если же мы зарядим пипетку положительно, градиент потенциала на мембране будет еще более увеличивать движение положительно заряженных ионов калия наружу (к минусу). В результате ток ионов через калиевые каналы будет возрастать. И наоборот, если придать пипетке отрицательный заряд, движение ионов калия из электрода наружу через мембрану замедлится и канальный ток уменьшится. Важно отметить, что при достаточно большом отрицательном заряде ионы калия начнут движение внутрь, то есть против градиента концентрации. Ток ионов калия через канал зависит от электрического потенциала мембраны и градиента концентрации калия. Сочетание этих двух факторов формирует электрохимический градиент для калия. В отличие от начального результата, полученного при одинаковых концентрациях ионов калия по обе стороны мембраны, в данном примере ионный ток равен нулю при потенциале на пипетке -85 мВ. При этом потенциале стремление ионов калия выйти через канал наружу по градиенту концентраций полностью уравновешено трансмембранной разницей электрического потенциала, которая направляет движение ионов в противоположном направлении. Этот трансмембранный потенциал называется калиевым равновесным потенциалом (ЕK) Равновесный потенциал зависит только от концентрации ионов по обе стороны мембраны, но не от свойств ионного канала или механизма проникновения ионов через канал.
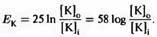
Какой именно потенциал необходим для того, чтобы уравновесить эффект реальной разницы концентраций ионов калия? Предположение о том, что Ек просто пропорционален разнице между внутриклеточной [К]i и внешней [К]0 концентрацией ионов калия, не совсем верно. Точнее, равновесный потенциал зависит от разницы между логарифмами концентраций:
Константа k определяется из формулы RT/(zF), где R – газовая постоянная, Т – абсолютная температура, z – валентность иона (в данном случае +1) и F – число Фарадея (число кулонов электричества в 1 молярном растворе иона). Таким образом,
, что можно представить как
.
Это уравнение называется уравнением Нернста для ионов калия. Аналогично, можно построить уравнение Нернста и для других основных ионов. Отношение RT/(zF) измеряется в вольтах и равно примерно 25 мВ при температуре 20° С. Иногда более удобно пользоваться десятичным (log), а не натуральным логарифмом (ln). Тогда значениемRT/(zF) должно быть умножено на In 10, или 2,31, что даст в результате 58 мВ. То есть
.
При температуре тела млекопитающих (37°С) вместо 58 мВ следует использовать 61 мВ. Для клетки, показанной на рис. 2.7, значение £к = -85 мВ соответствует отношению концентраций 1/30.
Необходимо отметить, что диффузия иона по градиенту концентрации не строго зависит от его концентрации. Во всех растворах, кроме очень слабых, ионы взаимодействуют друг с другом, что проявляется в электростатическом притяжении или отталкивании заряженных частиц. Результатом таких взаимодействий является снижение эффективной концентрации ионов. Эффективная концентрация иона называется активностью. Поэтому более точным теоретическим параметром для уравнения Нернста является соотношение активностей, а не соотношение концентраций. Однако поскольку суммарные концентрации ионов внутри и вне клетки близки, соотношение активности ионов не будет существенно отличаться от соотношения концентраций.
Без приложения потенциала ток составляет около 4 рА, тогда как с потенциалом на пипетке -85 мВ ионный ток равен нулю. Следовательно, ионный ток определяется не абсолютным значением мембранного потенциала (Vm), a разницей между мембранным потенциалом и равновесным потенциалом для данного иона, в данном случае для иона калия (Ек). Эта разница Vm – Ек является движущей силой для прохождения ионов через канал. Вновь обратимся к рис. 2.7F: при мембранном потенциале, равном нулю, движущая сила составляет +85 мВ.
Нелинейные отношения «ток–напряжение»
Вторым характерным свойством зависимости «ток–напряжение», является ее нелинейность. При сдвиге от равновесного потенциала -85 м В в сторону деполяризации (то есть к нулю) ток меняется более быстро, чем при переходе в сторону гиперполяризации. Это происходит из-за того, что проводимость канала является функцией концентрации иона. В нашем примере концентрация ионов калия внутри пипетки гораздо выше концентрации этого иона во внешнем растворе. Это приводит к тому, что током, идущим наружу, переносится больше ионов, чем током, направленным внутрь. По мере сдвига от равновесного потенциала в сторону деполяризации, этот эффект становится все более заметным. Поэтому зависимость «ток–напряжение» имеет направленный вверх изгиб, несмотря на то, что проницаемость этого типа канала практически не зависит от потенциала.
Нелинейные отношения «ток–напряжение» наблюдаются также в ионных каналах, обладающих выпрямляющими свойствами. В таких каналах проницаемость зависит от потенциала, поэтому при определенном потенциале ионы двигаются в одном направлении гораздо легче, чем в обратном. Одним из таких примеров является потенциалзависимый калиевый канал, называемый каналом внутреннего выпрямления (inward rectifier). Такой тип канала позволяет ионам калия двигаться внутрь клетки при потенциале, более негативном, чем равновесный калиевый потенциал. Однако при потенциалах, менее негативных по отношению к равновесному калиевому потенциалу, выходящий ток или очень мал, или полностью отсутствует.
