Общая биология
Железобактерии переводят железо Fe3+ в железо Fe3+:
Водородные бактерии используют в качестве источника энергии реакции окисления молекулярного водорода, а в качестве единственного источника углерода - углекислый газ. Реакция окисления происходит по схеме:
Энергия, выделяемая при окислении указанных выше соединений, используется бактериями-хемосинтетиками для восстановления С02 до органических веществ.
Клеточное дыхание.
Образование и накопление энергии, доступной клетке, происходит в процессе клеточного дыхания. Для осуществления клеточного дыхания большинству организмов необходим кислород - в этом случае говорят об аэробном дыхании или аэробном высвобождении энергии. Однако некоторые организмы могут получать энергию из пищи без использования свободного атмосферного кислорода, т.е. в процессе так называемого анаэробного дыхания (анаэробного высвобождения энергии).
Таким образом, исходными веществами для дыхания служат богатые энергией органические молекулы, на образование которых в свое время была затрачена энергия. Основным веществом, используемым клетками для получения энергии, является глюкоза.
Аэробное (кислородное) дыхание.
Процесс аэробного дыхания можно условно разделить на несколько последовательных этапов.
Первый этап - подготовительный, или этап пищеварения, включающий в себя расщепление полимеров до мономеров. Эти процессы происходят в пищеварительной системе животных или цитоплазме клеток. На данном этапе не происходит накопления энергии в молекулах АТФ.
Следующий этап - безкислородный, или неполный. Он протекает в цитоплазме клеток без участия кислорода.
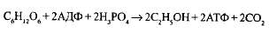
Аэробное дыхание, включающее безкислородный и кислородный этапы, можно выразить суммарным уравнением:
При распаде молекулы глюкозы высвобождается 200 кДж/ моль. В АТФ запасается 55% энергии, остальная рассеивается в виде тепла.
Анаэробное дыхание. Анаэробное дыхание - эволюционно более ранняя и энергетически менее рациональная форма получения энергии из питательных веществ по сравнению с кислородным дыханием.
В основе анаэробного дыхания лежит процесс, в ходе которого глюкоза расщепляется до пировиноградной кислоты и высвобождаются атомы водорода. Акцептором атомов водорода, отщепляемых в результате дыхания, является пировиноградная кислота, которая превращается в молочную.
Молочнокислое брожение осуществляют молочнокислые бактерии (например, кокки из рода стрептококк). Образование молочной кислоты по такому типу происходит также в животных клетках в условиях дефицита кислорода.
В природе широко распространено спиртовое брожение, которое осуществляют дрожжи. В отсутствие кислорода дрожжевые клетки образуют из глюкозы этиловый спирт и СО;. Вначале спиртовое брожение идет аналогично молочнокислому, но последние реакции приводят к образованию этилового спирта. От каждой молекулы пировиноградной кислоты отщепляется молекула С02, и образуется молекула двууглеродного соединения - уксусного альдегида, который затем восстанавливается до этилового спирта атомами водорода:
Суммарное уравнение:
Спиртовое брожение, кроме дрожжей, осуществляют некоторые анаэробные бактерии. Этот тип брожения наблюдается в растительных клетках в отсутствие кислорода.
Половое размножение у простейших. Коньюгация и копуляция
Половое размножение отличается наличием полового процесса, который обеспечивает обмен наследственной информацией и создает условия для возникновения наследственной изменчивости. В нем, как правило, участвуют две особи - женская и мужская, которые образуют гаплоидные женские и мужские половые клетки - гаметы. В результате оплодотворения, т.е. слияния женской и мужской гамет, образуется диплоидная зигота с новой комбинацией наследственных признаков, которая и становится родоначальницей нового организма.
Половое размножение по сравнению с бесполым обеспечивает появление наследственно более разнообразного потомства. Формами полового процесса являются конъюгация и копуляция.
Конъюгация - своеобразная форма полового процесса, при которой оплодотворение происходит путем взаимного обмена мигрирующими ядрами, перемещающимися из одной клетки в другую по цитоплазматическому мостику, образуемому двумя особями. При конъюгации обычно не происходит увеличения количества особей, но происходит обмен генетическим материалом между клетками, что обеспечивает перекомбинацию наследственных свойств. Конъюгация типична для ресничных простейших (например, инфузорий), некоторых водорослей (спирогиры).
Копуляция (гаметогамия) - форма полового процесса, при которой две различающиеся по полу клетки - гаметы - сливаются и образуют зиготу. При этом ядра гамет образуют одно ядро зиготы.
Различают следующие основные формы гаметогамии: изогамия, анизогамия и оогамия.
При изогамии образуются подвижные, морфологически одинаковые гаметы, однако физиологически они различаются на "мужскую" и "женскую". Изогамия встречается у многих водорослей.
При анизогамии (гетерогамии) формируются подвижные, различающиеся морфологически и физиологически гаметы. Такой тип полового процесса характерен для многих водорослей.
В случае оогамии гаметы сильно отличаются друг от друга. Женская гамета - крупная неподвижная яйцеклетка, содержащая большой запас питательных веществ. Мужские гаметы - сперматозоиды - - мелкие, чаще всего подвижные клетки, которые перемещаются с помощью одного или нескольких жгутиков. У семенных растений мужские гаметы - спермии - не имеют жгутиков и доставляются к яйцеклетке с помощью пыльцевой трубки. Оогамия характерна для животных, высших растений и многих грибов.
Взаимодействие неаллельных генов: комплементарность, эпистаз, полимерия. Плейотропия
В ряде случаев на один признак организма могут влиять две (или более) пары неаллельных генов. Это приводит к значительным численным отклонениям фенотипических (но не генотипических) классов от установленных Менделем при дигибридном скрещивании. Взаимодействие неаллельных генов подразделяют на основные формы: комплементарность, эпистаз, полимерию. P>при комплементарном взаимодействии признак проявляется лишь в случае одновременного присутствия в генотипе организма двух доминантных неаллельных генов. Примером комплементарного взаимодействия может служить скрещивание двух различных сортов душистого горошка с белыми лепестками цветков. В результате такого скрещивания в F1 все гибриды имеют лепестки пурпурной окраски, а в F2 будет наблюдаться расщепление: 9/16 растений будут с пурпурными лепестками цветов и 7/16 – с белыми.
