MathCadРефераты >> Программирование и компьютеры >> MathCad
Пользовательские функции должны быть сначала определены. Определение задается при помощи оператора присваивания. В левой части указывается имя пользовательской функции и, в скобках, формальные параметры — переменные, от которых она зависит. Справа от знака присваивания эти переменные должны использоваться в выражении. При использовании пользовательской функции в последующих формулах ее имя вводят вручную. В диалоговом окне Insert Function (Вставка функции) оно не отображается.
Приведем обозначения основных из [Dm1] них:
1. Тригонометрические и обратные функции:
sin(z), cos(z), tan(z), asin(z), acos(z), atan(z)
z - угол в радианах
2. Гиперболические и обратные функции:
sinh(z), cosh(z), tanh(z), asinh(z), acosh(z), atanh(z)
3. Экспоненциальные и логарифмические:
exp(z) - ez
ln(z) - натуральный логарифм
log(z) - десятичный логарифм
4. Cтатистические функции:
mean(x) - среднее значение
var(x) - дисперсия
stdev(x) - среднеквадратическое отклонение
cnorm(x)- функция нормального рапределения
erf(x) - функция ошибки
Г(x) - гамма-функция Эйлера
5. Функции Бесселя:
J0(x), J1(x), Jn(n,x) - функции Бесселя первого порядка
Y0(x), Y1(x), Yn(n,x) - функции Бесселя второго порядка
6. Функции комплексного переменного:
Re(z) - вещественная часть комплексного числа
Im(z) - мнимая часть комплексного числа
arg(z) - аргумент комплексного числа
7. Преобразование Фурье:
U:=fft(V) - прямое преобразование (V- вещественное)
V:=ifft(U) - обратное преобразование (V- вещественное)
U:=cfft(V) - прямое преобразование (V- комплексное)
V:=icfft(U) - обратное преобразование (V- комплексное)
8. Корреляционная функция - позволяет рассчитывать коэффициент корреляции двух векторов vx и vy и определить уравнение линейной регрессии:
corr(vx,vy) - коэффициент корреляции
slope(vx,vy) - коэффициент наклона линии регрессии
intercept(vx,vy) - начальная координата линии регрессии
9. Линейная интерполяция:
linterp(vx,vy,x)
vx,vy- векторы значений аргумента и функций. x- значение аргумента,
для которого проводится интерполяция
10.Функция для определения корней алгебраических и трансцендентных уравнений:
root(уравнения, переменная) - значение переменной, когда уравнение равно нулю
11.Датчик случайных чисел:
rnd(x) - случайное число с равномерным распределением от 0 до x
12.Целая часть переменной:
floor(x)- ближайшее наименьшее целое число
ceil(x)- ближайшее наибольшее целое число
13.Выделение остатка:
mod(x,y)- остаток от деления x на y
14.Остановка итерации:
until(x,y) - когда x<0
15.Функция условного перехода:
if(условие,x,y) - если условие выполняется, то функция равняется x, иначе y
16.Единичная функция (функция Хевисайда):
Ф(x) - если x>0. То функция равна 1, иначе 0
17.Логические выражения и операции. Простейшими видами логических выражений являются следующие: логическая константа, логическая константа, логическая константа, логическая переменная, выражение отношения. Например, при x:=0.5 операции отношения присваивают L истину или ложь (1 или 0):
L := x£1 L=0
L := x³1 L=0
L := x»1 L=0
L := x<1 L=1
L := x>1 L=0
18.Функции, определяемые пользователем. Пользователь может самостоятельно определить необходимые ему функции, отсутствующие среди встроенных функций пакета.
Решение уравнений и систем
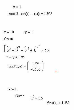
Для численного поиска корней уравнения в программе MathCad используется функция root. Она служит для решения уравнений вида f(x) = 0, где f (х) — выражение, корни которого нужно найти, a x — неизвестное. Для поиска корней с помощью функции root, надо присвоить искомой переменной начальное значение, а затем вычислить корень при помощи вызова функции: root(f(x),x). Здесь f(x) — функция переменной х, используемой в качестве второго параметра. Функция root возвращает значение независимой переменной, обращающее функцию f(x) в 0. Например:
Рис.3 Решение уравнений и систем
Если уравнение имеет несколько корней (как в данном примере), то результат, выдаваемый функцией root, зависит от выбранного начального приближения. Если надо решить систему уравнений (неравенств), используют так называемый блок решения, который начинается с ключевого слова given (дано) и заканчивается вызовом функции find (найти). Между ними располагают «логические утверждения», задающие ограничения на значения искомых величин, иными словами, уравнения и неравенства. Всем переменным, используемым для обозначения неизвестных величин, должны быть заранее присвоены начальные значения.
Чтобы записать уравнение, в котором утверждается, что левая и правая части равны, используется знак логического равенства — кнопка Boolean Equals (Логически равно) на панели инструментов Evaluation (Вычисление). Другие знаки логических условий также можно найти на этой панели. Заканчивается блок решения вызовом функции find, у которой в качестве аргументов должны быть перечислены искомые величины. Эта функция возвращает вектор, содержащий вычисленные значения неизвестных.
Построение графиков
Чтобы построить двумерный график в координатных осях Х-У, надо дать команду
Insert> Graph > X-Y Plot (Вставка > График > Декартовы координаты). В области размещения графика находятся заполнители для указания отображаемых выражений и диапазона изменения величин. Заполнитель у середины оси координат предназначен для переменной или выражения, отображаемого по этой оси. Обычно используют диапазон или вектор значений. Граничные значения по осям выбираются автоматически в соответствии с диапазоном изменения величины, но их можно задать и вручную. В одной графической области можно построить несколько графиков. Для этого надо у соответствующей оси перечислить несколько выражений через запятую. Разные кривые изображаются разным цветом, а для форматирования графика надо дважды щелкнуть на области графика. Для управления отображением построенных линий служит вкладка Traces (Линии) в открывшемся диалоговом окне. Текущий формат каждой линии приведен в списке, а под списком расположены элементы управления, позволяющие изменять формат. Поле Legend Label (Описание) задает описание линии, которое отображается только при сбросе флажка Hide Legend (Скрыть описание). Список Symbol (Символ) позволяет выбрать маркеры для отдельных точек, список Line (Тип линии) задает тип линии, список Color (Цвет) — цвет. Список Type (Тип) определяет способ связи отдельных точек, а список Width (Толщина) — толщину линии. Точно так же можно построить и отформатировать график в полярных координатах. Для его построения надо дать команду Insert > Graph > Polar Plot (Вставка > График > Полярные координаты). Для построения простейшего трехмерного графика, необходимо задать матрицу значений. Отобразить эту матрицу можно в виде поверхности — Insert > Graph > Surface Plot (Вставка > График > Поверхность), столбчатой диаграммы — Insert > Graph > 3D Bar Plot (Вставка > График > Столбчатая диаграмма) или линий уровня — Insert > Graph > Contour Plot (Вставка > График > Линии уровня).
