Понятие упитанности рыб
Введение
Начнём с бытового, интуитивного определения понятия упитанности: упитанный - полный и здоровый (Толковый словарь Ожегова).
В научной ихтиологической терминологии, как мы дальше покажем, понятие упитанности очень расплывчато и в разных источниках определяется по-разному. Учебник ихтиологии для студентов вузов, обучающихся по специальности «Ихтиология и рыбоводство» П.А. Моисеева и др. обходится такой формулировкой: упитанность характеризуется соотношением мяса и массы тела и содержанием жира в нём. Конечно, это не совсем определение. Явно чувствуется какая-то недосказанность, хотя дальше говорится о важности понятия упитанности для практики.
Понятие действительно, по моему мнению, очень важное для рыбоводства: как мы узнаем, правильно ли кормим или содержим рыбу, в хорошем ли она состоянии? - в первую очередь, конечно, просто посмотрев на неё, т.е. визуально. Посмотрев на рыбу, мы скажем «худая» ли она или «полная и здоровая», упитанная, как говорит нам Ожегов.
У меня есть ещё пример научно-рыбоводного определения упитанности. Это определение мне, как студенту, дали на лекции по методам рыбохозяйственных исследований: упитанность - это экстерьерный показатель, выражающийся в отношении массы тела к его объёму. И далее следует три известные всем ихтиологам формулы: Фультона, Кларк и Сальникова-Кравченко (также быстро переходят от определения упитанности к этим формулам в учебнике Моисеева).
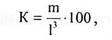
Рассмотрим формулу (коэффициент) упитанности по Фультону:
где m - масса тела рыбы;
1 - длина до конца чешуйного покрова.
Во-первых, давайте вернёмся к определению: упитанность - это масса, делённая на объём. Но ведь масса, делённая на объём, как мы знаем из физики, плотность. То есть под упитанностью мы подразумеваем плотность рыбы? Но и без пояснений видно, что плотность худой, костлявой рыбы будет больше, и по принятым ихтиологами формулам она будет «упитаннее», чем «полная и здоровая» рыба. И это главный вывод из проведённого нами анализа - формулы упитанности стремятся быть «формулами худосочности».
Но рассмотрим формулу Фультона дальше. Что такое L3? Под этим символом, очевидно, подразумевается приближённое значение объёма. Но какое отношение имеет куб, одним из рёбер которого является длина рыбы, к объёму этой рыбы? Тут, конечно, возникает ответ: но ведь очень сложно математически определить объём такой сложной геометрической фигуры, как рыба. Это действительно так. Но если уж Вам так необходимо узнать объём рыбы, вспомните архимедовский метод:
опустите личинку или малька и мерную посуду по числу прибавившихся рисок определите объем рыбы. Для взрослой, крупной рыбы это может быть ведро, наполненное до краёв водой и поставленное в таз. Конечно, странно писать и объяснять такие простые вещи, но, как Вы видите, мы имеем дело с ужасной математической беспомощностью биологов. Это относится и к формуле Фультона (которую приняли без условий, наверно, только из-за слова «фультон» - что-то иностранное, международное, и следовательно, проверенное), и к двум остальным.
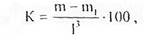
Кларк изменила формулу Фультона, полагая, что из формулы нужно исключить массу внутренностей:
где m₁ - масса внутренностей рыбы.
Но, как мы видим, та же кубическая бессмыслица остаётся.
С ещё большей математической беспомощностью рыбных биологов мы встречаемся в формуле Сальникова-Кравченко.
Отечественные учёные Н.Е. Сальников и Д.Н. Кравченко в 1978 г. предложили определять коэффициент упитанности, используя не только длину и массу тела, но и высоту и обхват:
где Н - высота тела рыбы;
О - обхват наиболее толстой части туловища.
Введение этих значений якобы «позволяет получить более объективную характеристику упитанности не только рыб разного пола и возраста, но и разных видов» (Моисеев и др 1981).
Подсознательно мы ощущаем, что авторы формулы по всё той же причине незнания истории об Архимеде пытаются приблизить сложную форму рыбы к форме цилиндра, но ведь объём цилиндрах V=lПr2
Мы понимаем, что все ли «усовершенствования» абсолютно бессмысленны и набиты в знаменатель просто так.
Не буду пока рассуждать, почему уже 25 лет рыбоводы-практики и учёные-теоретики используют эти бессмысленные формулы для исследования рыб, хочу только, наконец, привести для любителей математизации биологии свою, как мне кажется, абсолютно верную и простую формулу для расчёта упитанности рыб (если хотите, формулу Калабухова):
Обе формулы одинаково применимы, т.к. масса и объём живой рыбы для нас равнозначны из-за близости плотности рыбы к 1.
Так что количество килограммов в объёме рыбы будет равно количеству соответствующих кубических единиц. Эти формулы, в отличие от разобранных ранее, совершенно объективны и выражают прямую зависимость: чем «полнее и здоровее» рыба, тем, при одинаковой длине, она будет «упитаннее» другой рыбы, имеющей меньшую массу и объём. И наоборот, если при одинаковой массе (объёме) длина одной рыбы больше, то упитанность её будет меньшей.
Как видите, моя формула К = m/l близка к формуле Фультона К = m*100/l^3; в ней только нет ненужного возведения в куб и умножения на 100. Они принципиально похожи и верны, если не воспринимать 1 как объём, исходя из ошибочного определения упитанности как m/v. Итак, эти формулы близки и верны, это и объясняет, почему учёные-ихтиологи так долго успешно пользовались одной из них, не вникая в суть понятия.
Глава 1. Литературный обзор
Литературы об упитанности рыб достаточно, и многие из авторов давно не довольны формулой Фультона и предлагают свои решения.
Самая большая и самая критическая статья на тему упитанности рыб из тех, которые я нашел,- А.Д. Гершановича, Н.Б. Маркевича и Ж.Т. Дергалевой 1984 года в журнале «Вопросы ихтиологии». Авторы приводят возражения многих ихтиологов, до них критиковавших формулу Фультона, но говорят, что «несмотря на достаточно убедительную критику, коэффициент упитанности по-прежнему широко применяют в ихтиологических исследованиях». Основной их довод такой: коэффициент упитанности – это отношение массы и объема куба с ребром, равным длине рыбы, и поэтому, конечно, реальную упитанность не выражает. Под реальной упитанностью они подразумевают жирность рыбы и так и говорят: «мы исходили из общепринятого в животноводстве понятия упитанности, согласно которому под упитанностью понимается степень накопления в теле животных резервных питательных веществ, главным образом жира (Овсянников, 1955; Ланина, 1973)». Исходя из определения упитанности как жирности, авторы на многих примерах показывают, что значения, вычисленные по формулам Фультона и Кларк, не зависят от реальной жирности рыбы, а если зависят, то часто зависимость обратная. Они делают вывод, что нужно отказаться от этих формул и определять только жирность с помощью химических или др. методов.
