Предмет, задачи и методы физиологии растений
У водорослей фикобилины — дополнительные пигменты, выполняющие вместо хлорофилла б функции светособирающего комплекса. Около 90% энергии света, поглощенного фикобилинами, передается на хлорофилл а. Кроме фикобилинов, участвующих в фотосинтезе у водорослей, у всех растений имеется другой фикобилин — фитохром, являющийся фиторецептором для восприятия красного и дальнего красного света и выполняющий регуляторные функции.
Каротиноиды
Это большая группа пигментов желтого, оранжевого и красного цвета. Каротиноиды широко распространены в природе: их обнаружено больше трехсот. Однако в фотосинтезе участвуют лишь некоторые из них.
Поглощение света каротиноидами, а следовательно, их окраска обусловлены наличием конъюгированных двойных связей. β-каротин имеет два максимума поглощения, соответствующие длинам волн 482 и 452 нм. Красные лучи, поглощаемые хлорофиллами, каротиноидами не поглощаются. Каротиноиды в отличие их от хлорофилла не обладают способностью к флюоресценции. Подобно хлорофиллу, каротиноиды в хлоропластах вступают во взаимодействие с белками.
Каротиноиды принимают участие в процессе фотосинтеза, но их роль вспомогательная. Они поглощают определенные участки спектра света и передают энергию на хлорофилл, одновременно защищая молекулу хлорофилла от необратимого фотоокисления. Возможно, каротиноиды принимают участие в кислородном обмене при фотосинтезе. У высших растений, мхов, зеленых и бурых водорослей осуществляется светозависимое взаимопревращение ксантофиллов. Примером может служить виолаксантиновый цикл.
Значение виолаксантинового цикла остается невыясненным. Возможно, он служит для устранения излишков кислорода.
Производные каротиноидов — витамин А, ксантоксин, действующий подобно АБК. Хромопротеин родопсин, обнаруженный у некоторых галофитных бактерий, поглощая свет, функционирует в качестве Н+-помпы. Хромофорной группой бактериородопсина является ретиональ-альдегидная форма витамина А.
68. Биосинтез углеводов, ферменты углеводного обмена. Различия между ассимиляционным и запасным крахмалом
В растениях в процессе фотосинтеза образуются не только фосфорные эфиры сахаров или простые сахара, но и более сложные формы углеводов — сахароза, крахмал, клетчатка. Распад сложных форм углеводов до простых протекает тоже очень быстро. Это наблюдается, например, при прорастании семян, старении вегетативных органов и др. Образующиеся при распаде простые сахара или их фосфорные эфиры оттекают в репродуктивные органы, где из них вновь синтезируются сложные углеводы. И, наконец, в растениях очень легко идут процессы взаимных превращений углеводов.
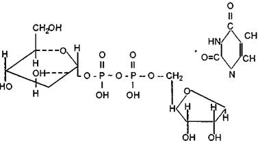
Взаимопревращение моносахаридов проходит через фосфорные эфиры сахаров или их уридиндифосфатпроизводные (УДФ-производные). УДФ-производные сахаров представляют собой тот или иной сахар, соединенный через два остатка фосфорной кислоты с уридином, например:
Уридиндифосфатглюкоза
Примеры взаимных превращений сахаров могут быть представлены в виде следующей схемы.
Схема взаимопревращений сахаров
|
Фруктоза |
Глюкоза | |||
|
↑↓ |
|
ДФ-глюкоза | ||
|
фруктозо-6-фосфат |
глюкозо-6-фосфат | |||
|
↑↓ |
| |||
|
маннозо-6-фосфат |
глюкозо-1-фосфат |
АДФ-глюкоза | ||
|
↑↓ |
↑↓ | |||
|
манноза |
УДФ-глюкоза |
↔ |
УДФ-глюкоза | |
|
↓ | ||||
|
глюкуронат-1 -фосфат |
↔ |
УДФ-глюкуроновая |
↔ |
УДФ-галактуро- новая кислота |
|
кислота | ||||
|
↓ |
↓ |
↓ | ||
|
глюкуроновая кислота |
УДФ-ксилоза |
галактуронат-1- | ||
|
↓ |
↓ |
фосфат | ||
|
гулоновая кислота |
УДФ-арабиноза |
↓ | ||
|
↓ |
↓ |
галактуроновая | ||
|
гулонолактон |
арабинозо-1 -фосфат |
кислота | ||
|
↓ |
↓ | |||
|
аскорбиновая кислота |
арабиноза | |||
Синтез сахарозы. Сахароза наиболее распространенный дисахарид. В растениях он образуется из глюкозы и фруктозы. На первом этапе идетфосфорилирование глюкозы:
Глюкоза + АТФ → глюкоза-6-фосфат + АДФ,
затем глюкозо-6-фосфат изолируется в глюкозо-1-фосфат. Глюкозо-1-фосфат соединяется с УТФ, в результате чего отщепляется пирофосфатная кислота и образуется соединение глюкозы с уридиндифосфорной кислотой (УДФ) — уридиндифосфатглюкоза.
Одновременно идет фосфорилирование фруктозы под действием фермента фруктокиназы с участием АТФ:
фруктоза + АТФ → фруктозо-6-фосфат + АДФ.
После этого происходит взаимодействие УДФ-глюкозы с фруктозо-6-фосфатом с участием фермента сахарозофосфат-УДФ-глюкозилтрансферазы. Наконец, образовавшийся сахарозо-6-фосфат под действием фермента фосфатазы гидролизуется с образованием свободной сахарозы.
