Реакция Абрамова
Абрамова реакция,
гидроксиалкилирование органических гидрофосфорильных соединений (в т.ч. тиогидро- и иминогидрофосфорильных) альдегидами и кетонами в присут. оснований (напр., алкоголятов или аминов) или к-т:
где X, Y-обычно R"O, R", R''2N, Н, ОН; R и R"-opг. радикалы; R'-opг. радикал или Н.
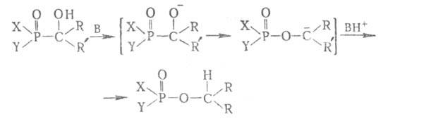
Абрамова реакция осуществляется по механизму нуклеоф. присоединения. При использовании фосфинистых к-т процесс протекает автокаталитически. Легкость протекания р-ции определяется электрофильностью карбонильного соед.; напр., хлораль реагирует с диалкилфосфитами энергично и с саморазогреванием, альдегиды и кетоны, не содержащие в
положении к карбонильной группе электроноакцепторных заместителей,-медленно. При нагревании в присут. к-т продукты р-ции часто распадаются до исходных в-в, а в присут. оснований (В) претерпевают внутримолекулярную изомеризацию:
Важная модификация Абрамова реакции - взаимод. альдегидов и кетонов с силилфосфитами или силилфосфонитами:
Родственный Абрамова реакции процесс-присоединение к альдегидам и кетонам фосфористой или фосфорноватистой к-ты, приводящее к
гидроксифосфоновым,
фосфонистым или
фосфиновым к-там.
Абрамова реакцию применяют в пром-сти, напр. для синтеза хлорофоса из диметилфосфита и хлораля.
Р-ция открыта А. Е. Арбузовым и М. М. Азоновским в 1947 на примере взаимод. диэтилацетофосфоната с диэтилфосфитом Na, позднее подробно изучалась В. С. Абрамовым.
Список литературы
Абрамов B.C., в кн.: Химия и применение фосфорорганических соединений, М., 1957, с. 218-22;
Пудовик А.Н. [и др.], в кн.: Реакция и методы исследования органических соединений, кн. 19, М., 1968, с. 45-59;
.
\
