Реакция Габриеля
Синтез первичных аминов алкилированием фталимида К алкилгалогенидами с последующим расщеплением образующегося N-замещенного фталимида:
Для получения алкилфталимидов без р-рителя или в неполярных р-рителях требуется длит. нагревание при 100-200 °С. Применение полярных р-рителей (ацетонитрила, ацетона, ДМФА, ДМСО и др.) позволяет снизить т-ру р-ции (вплоть до комнатной) и использовать вместо фталимида К имид в присут. К2СО3 или Na2COj. Активность алкилгалогенидов падает в ряду: RI > RBr > RС1
RF. При получении низших жирных аминов замена алкилгалогенидов тозилатами (эфирами и-толуолсульфокислоты) часто дает лучшие выходы. Вместо фталимида иногда используют сукцинимид. N - Алкилфталимиды расщепляются нагреванием со щелочами, к-тами или лучше всего с гидразингидратом (особенно в синтезе аминов, содержащих чувствительные к гидролизу группировки):
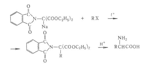
Вариант Г. р. - получение
аминокислот алкилированием Na-производного фталимидомалонового эфира алкилгалогенидами с послед. гидролизом (наз. также Сёренсена р-цией), напр.:
Г. р. позволяет получать первичные амины без примеси вторичных или третичных. Р-цию широко применяют для синтеза алифатич. и жирноароматич. аминов, аминоалкил-галогенидов, аминоспиртов, аминотиолов, диаминов, аминонитрилов, аминоальдегидов и др. Р-цию наблюдали впервые в 1884 К. Грабе и А. Пикте, с 1887 она подробно изучалась 3. Габриелем.
Список литературы
Вейганд К., Хилыстаг Г., Методы эксперимента в органической химии, пер. с нем М., 1968, с. 413
