Стрекозы фауны Беларуси
Для определения суточных рационов, усвояемости и прироста поставлены 20 лабораторных опытов длительностью 6—10 дней каждый. В кюветы помещали 4—12 личинок стрекоз (в зависимости от размера особей). Кормом служили личинки хирономид. Ежесуточно в кюветах меняли озерную фильтрованную воду, взвешивали несъеденную пищу, давали личинкам свежий корм. Фекалии отбирали несколько раз в день, фиксировали слабым раствором формалина и высушивали для определения калорийности. Калорийность личинок стрекоз, корма и фекалий определяли* методом биохроматного окисления.
Результаты и их обсуждение
Интенсивность обмена любого организма находится в параболической зависимости от его веса и выражается формулой
где Q — скорость потребления кислорода одной особью, мг/'ч;
W — вес одной особи, г сырого веса.
Для получения сопоставимых данных по результатам различных опытов мы пользовались величинами, приведенными к 20°С с учетом температурных поправок для скорости обмена по нормальной кривой Крога.
Показатели интенсивности обмена личинок стрекоз, полученные в наших опытах, несколько отличаются от приведенных Г. Г. Винбергом, который дает следующее уравнение зависимости скорости обмена личинок стрекоз от их веса:
В нашей работе не дифференцируются величины обмена личинок равнокрылых, и разнокрылых стрекоз, поэтому полученное методом наименьших квадратов уравнение зависимости скорости потребления кислорода от веса личинок стрекоз относится к представителям обоих подотрядов и имеет вид
Отмеченный нами более высокий уровень обмена обусловлен, вероятно, большим (в 15 раз) объемом опытных склянок в сравнении с использованными в опытах Г. Г. Винберга. Личинки стрекоз отличались большей подвижностью, поэтому в наших опытах отражен не только стандартный, но в известной степени и активный обмен, что больше соответствует природным условиям.
По разности конечного и начального веса особей мы рассчитали среднесуточный прирост, определили также величины суточных рационов и неусвоенной пищи для различных размерных групп личинок равнокрылых и разнокрылых стрекоз.
Анализируя полученные данные (см. рис), можно сделать вывод, что с увеличением размеров и веса животных возрастает количество потребляемой ими пищи. Подобная зависимость отмечена для ракообразных.
На основании опытных данных методом наименьших квадратов получено уравнение зависимости рационов от индивидуального веса личинок стрекоз:
где R — суточный рацион одной особи, кал.;
W — эквивалентная весу энергетическая ценность одной особи, кал.
Усвояемость определяли двумя способами: 1) по отношению разности энергии суточного рациона одной особи и энергии неусвоенной ею пищи за сутки к энергии суточного рациона по отношению суммы энергии суточного прироста организма и его энергетических трат на обмен за сутки к энергии суточного рациона
![]() |
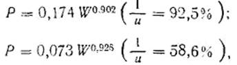
Величины усвояемости, рассчитанные по приведенным формулам, довольно сильно различаются, причем колебания их особенно велики при расчете вторым способом (см. таблицу). Данные показали также, что нет четкой зависимости усвояемости от рациона и от индивидуального веса личинок стрекоз. Это позволяет для дальнейших расчетов принять постоянную величину усвояемости [6]. Для хищных животных усвояемость принята приблизительно равной 80% . Усвояемость, вычисленная нами прямым методом, составила 92,5%- Возможно, это значение завышено, поскольку не были учтены выделяемые личинками стрекоз растворенные органические вещества, потери вещества корма в процессе питания личинок и методические погрешности эксперимента. Вероятно, эта величина имеет смысл при определенных условиях, тем более, что аналогичная усвояемость (свыше 90%), определенная тем же способом, приведена для краба Menippe.
Таблица
При расчете усвояемости вторым методом (=58,6%) вероятность ошибки возрастает, так как сказываются погрешности экспериментального определения прироста животных и энергетических трат на обмен. В литературе приводятся сходные величины усвояемости для личинок стрекоз (35—46%) , вычисленные таким же способом [1].
Как известно, энергия усвоенной части рациона идет на покрытие энергетических трат организма и на продукцию в виде прироста вещества их тела. Энергетические траты определяются по известной зависимости скорости потребления О2 личинками стрекоз от их веса
Из-за недостатка опытных данных не было возможности вывести подобную зависимость для приростов. Поэтому, используя выведенное в нашей работе уравнение зависимости рациона от веса, мы рассчитали
рационы для представителей различных размерных групп Г личинок стрекоз по данным количественных проб. После введения поправок на усвояемость получали зависимость усвоенной пиши (А) от веса организма. Вычитая из значений ассимилированной пищи величины энергетических трат на обмен, получали значения суточных приростов, которые находятся в параболической зависимости от усвоения рациона.
![]() |
Сходная величина усвояемости (60%) получена для пресноводных »■ морских ракообразных.
Уравнения имеют вид:
![]() |
где Р — продукция, кал/сут/экз.;
W — вес, кал.
При расчете среднемесячной продукции для сообщества личинок стрекоз пользовались вторым уравнением.
О величине продукции можно судить по значениям среднемесячных Р.В-коэффициентов, выражающих отношение продукции за месяц к средней биомассе. Среднемесячные VB-коэффициенты для оз. Нарочь в июле составляли 2,68, в августе —2.21, з сентябре —1,35.
Поток энергии в сообществе определяется плотностью отдельных размерных групп животных, их средними весами, приростом и дыханием в соответствии со среднемесячными температурами за данный период. При стабильном состоянии сообщества (зимой), когда пет роста животных, отчего размерный состав сообщества не меняется, поток энергии приблизительно равен энергетическим тратам на обмен.



