Лазерные резонаторыРефераты >> Радиоэлектроника >> Лазерные резонаторы
ТИПЫ КОЛЕБАНИЙ В ЛАЗЕРНЫХ РЕЗОНАТОРАХ И ЛАЗЕРНЫЕ ПУЧКИ
ОТКРЫТЫЕ РЕЗОНАТОРЫ
Важнейшим элементом любого квантового генератора (лазера) является резонатор, используемый для создания положительной обратной связи в генераторе и в простейшем варианте состоящий из двух соосных полупрозрачных зеркал. В отличие от радиодиапазона, где в качестве резонаторов используются замкнутые полости, этот резонатор не имеет боковых поверхностей и поэтому называется открытым.
Элементарная теория открытых резонаторов
Известно, что объемные резонаторы радиодиапазона имеют характерные размеры порядка рабочей длины волны. Для сохранения этих пропорций при увеличении длины волны необходимо в такой же степени увеличивать линейные размеры резонатора. При этом резонаторы становятся все более громоздкими и, в результате, для больших длин волн приходится отказываться от них и переходить к обычным колебательным контурам, состоящим из конденсаторов и катушек индуктивности.
Переход к более коротким длинам волн также связан с рядом трудностей: резонаторы становятся все более миниатюрными и в оптической области спектра (длины волн в доли микрометра) должны иметь размеры того же порядка. Кроме того, при пропорциональном уменьшении длины волны и размеров резонатора его добротность быстро уменьшается. Поэтому применение обычных объемных резонаторов со стороны коротких длин волн ограничивается миллиметровым диапазоном.
Использование же в оптическом диапазоне объемных резонаторов, размеры которых много больше длины волны излучения, невозможно, так как такой резонатор практически теряет свои резонансные свойства.
Дело в том, что число типов колебаний в замкнутой резонаторной полости объема V, приходящееся на частотный интервал
, равно
.
Оно растет пропорционально квадрату частоты, т. е. расстояние по частоте между соседними типами колебаний изменяется как l/
(уменьшается). Добротность же Q каждого типа колебаний увеличивается лишь как
. Следовательно, ширина резонансной кривой типа колебаний
/Q растет как
с повышением частоты. Таким образом, с ростом частоты спектр собственных частот резонатора сильно сгущается, резонансные кривые каждого типа колебаний расширяются, сильно перекрываются и резонатор теряет свои резонансные свойства.
Выход был найден, когда начали использовать открытые резонаторы, размеры которых во много раз больше рабочей длины волны, а спектр собственных колебаний достаточно разрежен.
Простейший открытый резонатор (его называют также резонатором Фабри - Перо) состоит из двух плоских параллельных зеркал, расположенных на некотором расстоянии друг от друга перпендикулярно оси, соединяющей зеркала.
Основные особенности поля в таком резонаторе уясним на основе простых и наглядных соображений. Представим резонатор, образованный плоскими зеркалами бесконечной протяженности (рис.1).
Собственные колебания открытого резонатора (их называют также модами) можно рассматривать, как результат интерференции волн, распространяющихся от одного зеркала к другому. В результате в открытом резонаторе образуются стоячие волны. При волнах, распространяющихся вдоль оси резонатора (ось z на рис. 1), для образования стоячей волны необходимо, чтобы между зеркалами укладывалось целое число полуволн. Если
—рабочая длина волны, L—расстояние между зеркалами, то это условие запишем в виде
(1)
где q — целое число.
Рис. 1. Разрез резонатора Фабри— Перо с зеркалами бесконечной протяженности
Как следует из условия (1), собственная частота такой стоячей волны
(2а)
Формула (2а) написана для случая пустого резонатора. Если же резонатор заполнен средой с показателем преломления nr, то собственная частота стоячей волны
(2б)
Известно, что в среде с показателем преломления nr длина волны излучения
связана с длиной волны излучения в вакууме
в соотношением
=
в/nr Следовательно, при наличии среды равенство (8.1) меняется на L=q
/2= q
в/2nr откуда и получаем выражение (2б).
Теперь определим расстояние по частоте
между соседними стоячими волнами (q отличается на единицу). Очевидно, что
(3)
Рассмотренные стоячие волны (образованные волнами, распространяющимися вдоль оси резонатора) называют продольными или аксиальными типами колебания (продольными или аксиальными модами),
Проведем некоторые оценки. Пусть L= 10 см,
=0,6 мкм. Тогда, как следует из формулы (1), q=2L/
=3.105. Таким образом, число полуволн, укладывающихся на длине открытого резонатора, огромно: 105
106. Для сравнения отметим: у объемных резонаторов радиодиапазона для рабочих типов колебаний величина q всего лишь порядка единиц (1, 2 .).
Оценим также расстояние по частоте между соседними продольными типами колебаний открытого резонатора. Для L=10 см из формулы (3) получаем, что
Гц, т. е. около полутора тысяч мегагерц. Отметим, что в зависимости от расстояния между зеркалами (для полупроводниковых диодов оно составляет доли миллиметра, а для газовых лазеров может измеряться метрами) расстояние по частоте между соседними продольными типами колебаний может сильно меняться.
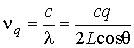
В открытом резонаторе стоячие волны могут образовываться также при сложении волн, распространяющихся под некоторым углом к оси резонатора. Если волна распространяется под углом q к оси резонатора, то для нее условие образования стоячей волны, эквивалентное (1), имеет вид
(4)
Отсюда собственная частота стоячей волны
(5)
