Банковская статистикаРефераты >> Банковское дело >> Банковская статистика
2. А) По полученным рядам распределения определить привлеченные ресурсы в среднем на один коммерческий банк.
|
|
Группы банков по количеству привлеченных ресурсов |
Число банков, входящих в группу (f i) |
Середина интервала X i |
X i * f i |
| X i- X | |
| X i- X | f i |
2 ( X i- X ) |
2 ( X i- X ) f i |
|
1 |
Менее 10000 |
1 |
5000 |
5000 |
299107 |
299107 |
89464997449 |
89464997449 |
|
2 |
10000—30000 |
6 |
20000 |
120000 |
284107 |
1704642 |
80716787449 |
484300724694 |
|
3 |
30000—80000 |
4 |
55000 |
220000 |
249107 |
996428 |
62054297449 |
248217189796 |
|
4 |
80000—200000 |
8 |
140000 |
1120000 |
164107 |
1312856 |
26931107449 |
215448859592 |
|
5 |
200000—500000 |
3 |
350000 |
1050000 |
45893 |
137679 |
2106167449 |
6318502347 |
|
6 |
500000—900000 |
4 |
700000 |
2800000 |
395893 |
1583572 |
156731267449 |
626925069796 |
|
7 |
900000— 2300000 |
2 |
1600000 |
3200000 |
1295893 |
2591786 |
1679338667449 |
3358677334898 |
|
Итого: |
28 |
8515000 |
2734107 |
8626070 |
2097343292143 |
5029352678572 |
|
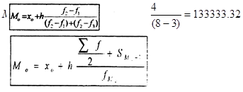
Б) Найти модальное и медианное значение привлеченных ресурсов.
| Интервал | Число банков, входящих в этот интервал | Накопленные частоты |
|
Менее 10000 | 1 | 1 |
|
10000—30000 | 6 | 7 |
|
30000—80000 | 4 | 11 |
|
80000—200000 | 8 | 19 |
|
200000—500000 | 3 | 22 |
|
500000—900000 | 4 | 26 |
|
900000— 2300000 | 2 | 28 |
| 28 |
|
|
.
