Международное вексельное обращениеРефераты >> Банковское дело >> Международное вексельное обращение
,
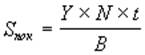
где t – число дней до погашения; Р – цена покупки; N – номинал; К – курсовая стоимость; В – используемая временная база.
Как правило, в операциях с векселями используются обыкновенные проценты (360/360).
Абсолютный доход по дисконтному векселю S равен:
.
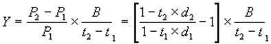
В случае, если вексель продается (покупается) до срока погашения, доход будет поделен между продавцом и покупателем, исходя из величины рыночной ставки процентов и числа дней, оставшихся до погашения:
,
где Y – рыночная ставка (норма доходности покупателя); t – число дней от момента сделки до срока погашения.
Соответственно доход продавца будет равен:
.
Если вексель размещается по номиналу, его доход определяется объявленной процентной ставкой r. Нетрудно заметить, что в этом случае вексель представляет собой ценную бумагу с выплатой фиксированного дохода в момент погашения. Методы анализа доходности подобных обязательств были рассмотрены выше.
3.2 Оценка стоимости финансовых векселей
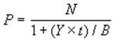
Процесс оценки стоимости векселя, выпущенного с дисконтом, заключается в определении современной величины элементарного потока платежей по формуле простых процентов, исходя из требуемой нормы доходности Y.
С учетом используемых обозначений, формула текущей стоимости (цены) подобного обязательства будет иметь следующий вид:
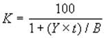
Поскольку номинал дисконтного векселя принимается за 100%, его курсовая стоимость равна:
.
3.3 Учет векселей
В отличие от финансового, коммерческий вексель является средством товарного кредита. В основе этого векселя лежит торговая операция, связанная с поставкой товаров с отсрочкой платежа. Поставка осуществляется в счет векселя, выписанного на сумму стоимости товаров плюс проценты за кредит (отсрочку платежа).
В условиях насыщенности рынка товарами и услугами, поставщики часто вынуждены идти на отсрочку платежа, чтобы сделать свою продукцию более привлекательной для покупателя. Таким образом, коммерческие векселя здесь играют роль своеобразного оружия в борьбе с конкурентами.
В России же чаще всего основной причиной проведения подобных сделок в настоящее время является отсутствие денежных средств у покупателя.
На практике поставщик, получив вексель, старается как можно быстрее превратить его в деньги путем реализации третьему лицу – банку, финансовой или факторинговой компании. При этом вексель индоссируется в пользу нового покупателя и последний становится векселедержателем.
Подобная операция называется учетом векселя, или банковским учетом. В результате ее проведения поставщик продукции получает денежные средства раньше срока погашения, хотя и не в полном объеме (за вычетом суммы дисконта в пользу банка).
В свою очередь банк при наступление срока погашения предъявляет вексель к оплате и, получив деньги в полном объеме, реализует свой дисконт.
Таким образом вексель выполняет в данной операции две функции – коммерческого кредита и средства платежа.
Абсолютная величина дисконта определяется как разность между номиналом векселя и его современной стоимостью на момент проведения операции. При этом дисконтирование осуществляется по учетной ставке d, устанавливаемой банком:
,
где t – число дней до погашения; d – учетная ставка банка; Р – сумма, уплаченная владельцу при учете векселя; N – номинал.
Как правило, при учете векселей применяются обыкновенные проценты (360 / 360). Современная стоимость PV (цена обязательства P) при учете векселя определяется по формуле (3.5).
Пример:
Простой вексель на сумму 100000 с оплатой через 90 дней учитывается в банке за 60 дней до погашения. Учетная ставка банка равна 15%. Определить величину дисконта в пользу банка и сумму, полученную владельцем векселя.
DISC = (100000 ´ 60 ´ 0,15) / 360 = 2500.
Соответственно владелец векселя получит величину PV:
PV =100000 - 2500 = 97500.
Предположим, что в рассматриваемом примере владелец решил учесть вексель немедленно после получения.
DISC = (100000 ´ 90 ´ 0,15) / 360 = 3750
PV =100000 - 3750 = 96250.
Как следует из полученного результата, при неизменном значении ставки d, чем раньше производится учет векселя, тем больше будет величина дисконта в пользу банка и тем меньшую сумму получит владелец. Изменим условие примера 1 следующим образом.
На какую сумму должен быть выписан вексель, чтобы поставщик, проведя операцию учета, получил стоимость товаров в полном объеме, если банковская учетная ставка равна 15%?
Нетрудно заметить, что здесь мы имеем дело с обратной задачей – наращением по учетной ставке d. При этом будущая величина FV (номинал векселя) определяется по формуле:
FV = 100000 / [1 - (90 ´ 0,15) / 360] = 103896,10.
Учтенный (купленный) банком вексель, в свою очередь, может быть переучтен (продан) в другом банке. Доходность купли-продажи векселя в этом случае зависит от уровня используемых учетных ставок:
,

,
где t1 – число дней до погашения в момент покупки; t2 – число дней до погашения в момент перепродажи; Р1 – цена покупки; Р2 – цена перепродажи; d1 – учетная ставка при покупке; d2 – учетная ставка при продаже.
Как следует из приведенных соотношений, для продавца операция переучета является доходной только в случае выполнения следующего неравенства:
В некоторых случаях, товарные векселя могут выпускаться в виде ценной бумаги с фиксированным доходом, выплачиваемым по ставке r в срок погашения. Современная стоимость такого векселя при учете будет равна:
