Методы управления рисками на рынке ценных бумагРефераты >> Банковское дело >> Методы управления рисками на рынке ценных бумаг
Пример 4. Инвестор планирует получить в будущем сумму денег, которую собирается поместить в акции компании А. Однако он опасается, что курс бумаги может возрасти. Вкладчик принимает решение хеджировать покупку продажей опциона пут. Если в последующем курс акций понизится и опцион будет исполнен, он приобретет их, исполнив свои обязательства по контракту. Если же курс акции превысит цену исполнения, то опцион не будет исполнен. При данной стратегии позиция инвестора хеджируется на величину полученной им премии.
Пример 5. Инвестор планирует получить в будущем сумму денег, которую собирается разместить в акции компании А. Если он опасается, что курс их возрастет, то может хеджировать будущую покупку приобретением опциона колл. Цена хеджирования будет равна величине уплаченной премии.
Принимая решение о хеджировании позиции с помощью той или иной стратегии, в случае альтернативных вариантов (примеры 1, 2, 3) инвестор должен подсчитать затраты, связанные с каждой стратегией, и выбрать (при прочих сравнимых условиях) наиболее дешевую из них. При определении стоимости хеджирования следует учитывать комиссионные за покупку (продажу) опциона и актива, а также возможность разместить полученные средства (от продажи опциона или актива) под процент без риска на требуемый срок и не полученный процент без риска на сумму премии при покупке опциона и дивиденды при продаже акций (пример 3).
С помощью опционных контрактов инвестор может хеджировать свою позицию от колебаний цены актива в краткосрочном плане, когда общая тенденция рынка (к повышению или понижению) не вызывает сомнения. Такая страховка выполняется с помощью обратного спрэда быка или медведя.
Пример. Инвестор владеет акцией, цена которой составляет 100 долл. На рынке существует тенденция повышения курсовой стоимости бумаг, однако вкладчик желает застраховаться от колебаний цены акции в ближайшей перспективе. Он продает опцион пут за 5 дол; с ценой исполнения 95 долл. и покупает опцион колл за 4 долл. с ценой исполнения 105 долл. (см. рис. 4). Таким образом, позиция инвестора хеджирована от колебаний курса акции в пределах одного доллара.
Пример. Допустим теперь, что на рынке существует тенденция к понижению курса акций. Инвестор страхуется от небольших колебаний цены бумаги в краткосрочной перспективе, используя обратный спрэд медведя. Он покупает опцион пут и продает опцион колл. Если опцион пут стоит дороже опциона колл, то вкладчик может создать положительный баланс за счет продажи нескольких опционов колл (с одной или разными ценами исполнения) и купить меньшее число опционов пут.
Рис.4. Хеджирование с помощью обратного спрэда быка
На рынке с тенденцией к повышению курсовой стоимости бумаг инвестор может хеджировать полученный прирост курсовой стоимости с помощью техники, которая получила название хедж Зевса. Графически она представлена на рис. 5. Суть ее заключается в том, что вкладчик часть прироста курсовой стоимости актива использует для покупки опционов пут, чтобы застраховаться от возможного падения цены бумаг. На рис. 4 показано, что хеджер купил опционы пут в моменты времени ti и fc.
Рис.5. Хедж Зевса
Страховать позицию инвестор может с помощью создания синтетической фьючерсной позиции.
Пример. Инвестор владеет акцией, цена которой 100 долл. Он страхует свою позицию покупкой опциона пут без выигрыша и продажей опциона колл без выигрыша, как представлено на рис. 6. Цена хеджирования зависит от соотношения премий опционов.
Рис.6. Хеджирование короткой синтетической фьючерсной позицией
Для того, чтобы хеджировать свою позицию с помощью опционных контрактов, вкладчик должен определить требуемое число опционных контрактов. Оно рассчитывается по следующей формуле:
Например, инвестор хеджирует позицию из 400 акций с помощью опциона, в который входит 100 акций. Следовательно, ему необходимо заключить 4 опционных контракта.
2.3 Диверсификация
Диверсификация - распределение инвестиционного портфеля по разным активам для уменьшения рисков, связанных с падением стоимости отдельного актива или банкротства отдельной компании.
Диверсификация может быть: межгосударственной - распределение портфеля между разными странами, с целью распределить политические риски; по видам инвестиционных инструментов - между акциями, облигациями, ценными металлами, депозитами и прочими; межотраслевая - распределение портфеля по разным отраслям экономики.
Диверсификация не является самоцелью. При помощи диверсификации инвестор старается уменьшить риск при такой же доходности, а не уменьшить риск за счет доходности. Поэтому не стоит увлекаться диверсификацией, попытки постоянно поддерживать портфель в диверсифицированном состоянии могут привести к ситуации, когда инвестор продает более перспективный актив и покупает менее перспективный инструмент из-за того, что многообещающая позиция занимает слишком большую долю в портфеле. [11]
Диверсификация способна снизить риск вложений, но не способна полностью избавить от него. Есть риски, которые так и называются - недиверсифицируемые. Они получили свое название из-за того что от них нельзя скрыться при помощи диверсификации. Примером такого риска может послужить глобальный экономический кризис, во время кризиса пришли в упадок все отрасли экономики, эмитенты инструментов с фиксированной доходностью объявляли дефолт, а стоимость ресурсов падала с огромной скоростью.
Сущность диверсификации состоит в формировании инвестиционного портфеля (отбора активов в портфель) таким образом, чтобы он при определенных ограничениях удовлетворял заданному соотношению риск/доходность.
Задача финансового менеджера на этом этапе состоит в том, чтобы сформировать наиболее эффективный портфель, т.е. минимизировать риск портфеля при заданном уровне доходности либо максимизировать доходность для выбранного уровня риска.
Снижение инвестиционного риска в результате формирования портфеля из различных активов известно как эффект диверсификации.
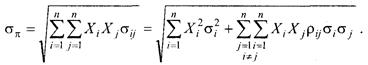
Формулы для определения ожидаемой доходности и риска портфеля из п активов имеют следующий вид:
(1)
(2)
Второй способ записи формулы (2) наглядно показывает, что портфельный риск состоит из двух слагаемых. Первое слагаемое − это риск, связанный только с изменчивостью (дисперсиями) доходностей отдельных активов. Этот риск называется несистематическим, или уникальным, присущим отдельным активам или предприятиям.
Примерами несистематических рисков могут служить:
• утрата активов, ключевых поставщиков и клиентов, персонала и т.п.;
