Основные подходы к классификации банковских рисков, методы управления ими, а также определение путей их минимизацииРефераты >> Банковское дело >> Основные подходы к классификации банковских рисков, методы управления ими, а также определение путей их минимизации
В процессе управления риском следует учитывать следующие правила:
· нельзя рисковать больше, чем это может позволить собственный капитал,
· всегда нужно помнить о возможных последствиях риска,
· нельзя рисковать многим ради малого,
· положительное решение, связанное с риском, принимается лишь при отсутствии сомнений,
· всегда существует несколько решений рисковых задач [23, с.13].
Комплексный подход к управлению риском позволяет более эффективно использовать ресурсы, распределять ответственность, улучшать результаты работы.
Одним из традиционных методов оценки и управления риском считается статистический метод. Основными инструментами статистического анализа являются – дисперсия, стандартное отклонение, коэффициент вариации. Суть этого метода состоит в анализе статистических данных за возможно больший период времени, что позволяет сравнить частоту возникновения потерь банка с вероятностью их возникновения. Данный способ можно применять к оценке самых разных видов рисков банка, как внешних, так и внутренних. При этом частота возникновения допустимого уровня потерь для данного банка зависит от числа случаев наступления конкретного уровня потерь и общего числа случаев в статистической выборке [24, с.12].
При работе банка в безрисковой зоне потери не ожидаются, что позволяет получить хорошую прибыль. При попадании в зону допустимого риска прибыль банка превышают понесенные потери. В зоне недопустимого риска банк не получает прибыли от своей деятельности. Она направляется на покрытие возникших потерь. В зоне критического риска банк близок к банкротству. Полученной прибыли не хватает для покрытия потерь.
Статистический метод заключается в том, чтобы изучить статистику потерь и прибылей, имевших место при принятии аналогичных рений, установить величину и частоту получения той или иной экономической отдачи, а затем провести вероятностный анализ и составить прогноз будущего поведения на рынке [24, с.13].
Таким образом, управление банковскими рисками является весьма скрупулезным процессом, требующим тщательной подготовки, высокой квалификации и ответственного подхода к оценке реальных последствий наступления рисковой ситуации.
2. АНАЛИЗ БАНКОВСКИХ РИСКОВ НА ПРИМЕРЕ ОАО «БЕЛАГРОПРОМБАНК»
2.1. Состояние рисковой ситуации в деятельности белорусских банков
Рассмотрим состояние рисковой ситуации в кредитной деятельности белорусских банков начиная со второй половины девяностых годов.
Вторая половина девяностых годов стала периодом существенных изменений, значительных структурных преобразований и совершенствования деятельности банков Республики Беларусь. Целесообразно дать краткую характеристику сложившейся в последние годы рисковой ситуации в кредитной деятельности банков республики.
Начиная с 1996 года, обострилась проблема своевременного возврата банковских кредитов. По мере увеличения объёмов проводимых банками активных операций, роста кредитных вложений опережающими темпами увеличивалась просроченная задолженность по кредитам банков. Наиболее показательным в этом отношении следует считать 1998 год, когда темпы роста активов, кредитов и просроченной задолженности составили 387 %, 420 % и 510 % соответственно [7, c. 42].
Данные о невозвращенных кредитах свидетельствуют о постоянном росте доли невозвращённых кредитов в портфелях белорусских банков. Так, если на 1.01.1996 года значение этого показателя составляло 12 %, то на 1.01.1997года уже 14 %, а на 1.01.1998 года - 18 %. Максимальный процент проблемных кредитов был зафиксирован в размере 22,1 % по состоянию на 1.01.1999 г. Данные на 1.01.2000 г. отражают снижение величины этого показателя до 17 %.
В сложившейся рисковой ситуации в кредитной деятельности банков нашей республики целесообразно выделить некоторые особенности:
- имеется значительная просроченная задолженность по кредитам банков;
- сокращается величина собственного капитала большинства банков в валютном эквиваленте;
- в объёмах невозвращённых кредитов преобладает доля валютной просрочки;
- отмечается низкая доходность кредитных операций крупных банков;
- формирование резервов на покрытие убытков по ссудам осуществляется не в полном объёме [7, c. 42].
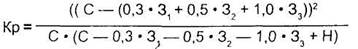
Проведенный нами анализ позволяет констатировать высокий уровень кредитного риска, сопутствующего деятельности белорусских банков. В связи с этим возникает проблема качественного измерения и прогнозирования кредитного риска адекватно потенциальным потерям. Эту задачу попытаемся решить, предложив формулу расчёта коэффициента кредитного риска, учитывающего степень полноты создания резервов на покрытие убытков по ссудам.
,
где Кр - коэффициент кредитного риска;
С - величина ссудной задолженности клиентов банка;
З1 32, 33- ссудная задолженность, отнесённая соответственно ко второй, третьей и четвёртой группам риска;
Н -сумма недоначисленного резерва на возможные потери по ссудам [7, c. 43].
Поправочные коэффициенты 0,3; 0,5; 1,0 отражают необходимую величину формирования резерва на возможные потери по ссудам в соответствии с действующим в настоящее время положением Национального банка Республики Беларусь № 775 от 19.08.1996 г.
Рассмотрим задачи, стоящие перед банковской системой по преодолению сложившейся ситуации.
Первостепенной задачей, стоящей перед банковской системой республики, является направление денежных потоков в экономику и, в первую очередь, - в реальный сектор. Валовые кредиты банков экономике за январь-июнь 2002г. увеличились на 452,3 млрд. руб. (или на 17,8%, в реальном выражении они снизились на 2%), в том числе в белорусских рублях - на 186,4 млрд. руб. (или на 14,9%) и в иностранной валюте - на 47,2 млн. USD [11, c. 31].
В 2004 г. ряд предприятий находились в сложном финансовом положении, поэтому кредитные операции не всегда являлись самыми надежными и доходными.
Увлечение высокодоходными, но спекулятивными и высокорискованными операциями, как показал российский кризис, может привести к банкротству даже самый надежный банк, а банковскую систему - к глубокому кризису. Учитывая это, банки должны учиться работать с реальным сектором экономики в любых макроэкономических условиях, поддерживать тесную связь с производительным капиталом. Это является залогом, может быть, не самого быстрого, но надежного роста и укрепления как предприятий реального сектора, так и банков.
- Процесс кредитования, особенно в странах с переходной экономикой, непрерывно связан с действием многочисленных факторов риска, способных повлечь за собой непогашение кредита в обусловленный договором срок. Предоставляя кредиты, банк должен всесторонне изучить и проанализировать те факторы, которые могут привести к непогашению кредитов. Такое изучение именуют анализом кредитоспособности [11, c. 32].
Существующие на сегодняшний день в Республике Беларусь методики определения финансового состояния кредитополучателя, его платежеспособности и кредитоспособности не в полной мере отвечают сложившейся экономической ситуации. Трудно найти предприятие, которое по данным методикам «вписывалось бы» в рамки финансово устойчивого. Большинство из них находится в кризисном состоянии, и надежных кредитополучателей сегодня практически не существует. Положение ряда предприятий настолько тяжело, что из-за нехватки средств на оплату суммы обязательных страховых взносов в Фонд социальной защиты юридические лица не получали кредиты на заработную плату. В соответствии с Декретом Президента Республики Беларусь от 06.08.2002г. №19 «О некоторых мерах по обеспечению своевременной уплаты подоходного налога и обязательных страховых взносов в Фонд социальной защиты населения Министерства труда и социальной защиты» в суммы кредитов, выдаваемых банками для выплаты заработной платы, включаются суммы обязательных страховых взносов в Фонд социальной защиты и подоходного налога, исчисленного из размера данной заработной платы. Однако Указом Президента Республики Беларусь от 15 июля 2002г. №376 при наличии у юридических лиц, их обособленных подразделений и индивидуальных предпринимателей неисполненных обязательств по уплате платежей, производимых в первоочередном порядке, запрещается осуществление ими вне очереди платежей в счет погашения задолженности по выплате заработной платы, в т.ч. в счет погашения банковских кредитов, выданных для этой цели выше размера бюджета прожиточного минимума.
