Исследование системы программного регулирования скорости вращения рабочего органа шпинделяРефераты >> Управление >> Исследование системы программного регулирования скорости вращения рабочего органа шпинделя
СОДЕРЖАНИЕ:
ВВЕДЕНИЕ . 2
Исходные данные 3
1.Структурная схема системы . 5
2. Определение коэффициента усиления электронного усилителя по заданной точности. 7
3. Определение устойчивости системы методом Михайлова А.Б 9
4. Коррекция системы . 10
4.1. Построение ЛАЧХ корректирующего устройства 10
4.1.1. ЛАЧХ разомкнутой нескоректированной системы Lнс (w) 10
4.1.2. ЛАЧХ желаемой системы Lж(w) 11
4.1.3. ЛАЧХ корректирующего устройства Lк(w) . 12
4.2. Техническая реализация корректирующего устройства . 13
I-Звено: 13
II-Звено: . 14
III-Звено: . 14
IV-Операционный усилитель: . 15
4.3. Проверка правильности выбора корректирующих звеньев 16
5. Построение переходного процесса и определение прямых показателей качества. 17
ЗАКЛЮЧЕНИЕ . 18
СПИСОК ЛИТЕРАТУРЫ 19
ВВЕДЕНИЕ
Курс теории автоматического управления ставит своей целью ознакомить с общими принципами построения систем автоматического управления, с процессами в этих системах и методами их исследования. Принципы построения систем автоматического управления связаны с общими законами управления, значение которых выходит далеко за пределы технических задач.
Теория автоматического управления сформировалась в самостоятельную науку, в первую очередь на основе изучения процессов управления техническими устройствами. Изучение принципов построения и исследования систем автоматического управления в курсе ОТУ проводится на основе рассмотрения управления различными техническими устройствами, и первое понятие, которое конкретизирует довольно широкое поле деятельности этого курса является автоматическое регулирование. Под автоматическим регулированием понимают поддержание на определенном уровне или изменение по закону некоторых переменных характеристик (регулируемых величин) в машинах и агрегатах без участия человека с помощью различного рода технических средств.
Рассматриваемые принципы управления имеют более широкий общий смысл и могут быть применены при изучении процессов управления в совершенно иных системах, например, в биологических, экономических, социальных и др.
Исходные данные
![]() |
Рис. 1
На рис.1 использованы следующие обозначения:
ü ОВ ЭМУ – обмотка возбуждения ЭМУ.
ü ЭМУ - электромагнитный усилитель.
ü Д - двигатель постоянного тока
ü ОВД – обмотка возбуждения двигателя.
ü Р – редуктор.
ü ТГ – тахогенератор.
ü У – электронный усилитель.
ü E - ошибка рассогласования.
ü V - скорость изменения напряжения.
ü М – момент инерции шпинделя.
Система регулирования работает следующим образом: с электронного усилителя У усиленный сигнал рассогласования Е поступает на обмотку возбуждения ЭМУ (ОВ ЭМУ), ток, проходящий через ОВ ЭМУ меняется,изменяя тем самым величину магнитного потока, действующего на ротор электромагнитного усилителя (ЭМУ) - увеличивая или уменьшая скорость его вращения, ив зависимости от этих изменений меняется скорость и направление вращения двигателя (Д). Двигатель (Д), редуктор (Р), тахогенератор (ТГ) и шпиндель находятся в жесткой механической связи, поэтому изменения в скорости и в направлении вращения двигателя вызывают соответствующие изменения в скорости и в направлении вращения рабочего органа шпинделя, а также в работе тахогенератора (ТГ), который передвигает ползунок реостата в сторону изменения ошибки несогласования E.
Требуется:
1. Составить структурную схему и вывести уравнения, которыми описываются отдельные элементы и вся система регулирования в целом. Определить коэффициент усиления усилителя из заданной точности.
2. Определить устойчивость и качество переходных процессов в системе с помощью частотных методов.
3. Скорректировать систему.
4. Построить переходный процесс в системе и оценить его качество.
Дано:
| Тэ1 | Тэ2 | Тд | Кэму | Кд | Кред | Ктг |
E,% | V |
| 0,1 | 0, 7 | 2,5 | 4 | 3 | 2 | 0,1 | 0,4 | 0,5 |
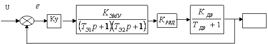
1.Структурная схема системы.
На основании принципиальной схемы (рис. 1) составим структурную схему (рис. 2) и рассмотрим все ее элементы для получения передаточной функции всей системы.
![]() |
Рис. 2
1.1 Усилитель.

(1)
где Ky – коэффицент усиления электронного усилителя.
1.2 ЭМУ
(2)
где Кэму- коэффицент передачи ЭМУ;
Тэ1,Тэ2 - постоянная времени ЭМУ.
1.3 Двигатель
(3)
где Кдв- коэффицент передачи двигателя постоянного тока.
Тдв - постоянная времени двигателя
1.4 Редуктор


