Внеклассные мероприятия по математике и информатикеРефераты >> Педагогика >> Внеклассные мероприятия по математике и информатике
VI. Разминка команды.
ЗНАЕТЕ ЛИ ВЫ?
Самое крупное наземное животное – африканский слон. Узнайте высоту, длину тела (в см) его массу (в кг).
Высота (см) длина (см) масса (кг)
Участвуют по 3 человека из команды, четвертый участник находит вес слоненка (он в 60 раз меньше массы взрослого слона: 6000 : 60 = 100 кг).
VII. Большая эстафета “Хочу все знать”…
1. “Птицы – составители прогноза”.
На Земном шаре обитают птицы – безошибочные составители прогноза погоды на лето.
Название этих птиц зашифровано примерами.
Выполнив действия, вы замените числа буквами и прочтете название птиц-метеорологов.
| 450 :18 315 :15 420 :28 360 :8 2100 :15 600 :25 425 :25 490 :14 |
|
(Фламинго).
Фламинго из песка строят гнезда в форме усеченного конуса, в верхнем основании делают углубления, в которые откладывают яйца. Высота гнезда зависит от того, каким будет лето: сухим или дождливым. Если лето ожидается дождливым, то гнезда строятся высоким, чтобы их не могла затопить вода, если засушливым – то более низкими.
2. “Черепахи-гиганты”.
а) На остовах Тихого океана живут черепахи-гиганты. Они такой величины, что дети могут кататься, сидя у них на панцире.
Узнать название самой крупной в мире черепахи поможет вам задание:
Вычислите разность, и замените получившиеся дроби числами:
|
|
|
(Дермохелис)
б) Решите уравнение, и вы узнаете массу черепахи дермохелис.
8х – 3683 = 1117
(600 кг)
3. Какой птицы не хватает? (см. Приложение №1)
Выбрать из трех возможных: правильную.
4. “Мышкина шифровка” (см. Приложение №2)
Сидел мышонок под кустом
И на листе писал хвостом
Секретную шифровку:
О том, что в доме номер пять …
(в ответ дочитать: поставят ночью под кровать большую… мышеловку).
Заменяя числа буквами русского алфавита, вы прочитаете шифровку.
5. Кроссворд “Математические понятия”.
I команда
Г – единица, используемая при измерении углов (градус).
Д – величина, которую записывают с помощью черты или запятой (дробь).
Л – фигура, имеющая начало, но не имеющая конца (луч).
М – знак сравнения (меньше).
Н – числа, используемые для счета предметов (натуральные).
II команда
Б – знак сравнения (больше).
К – прямоугольник, у которого все стороны равны (квадрат).
П – сумма длин всех сторон (периметр).
Т – фигура, состоящая из трех точек, трех отрезков, попарно их соединяющих (треугольник).
У – фигура, ограниченная двумя лучами, выходящими из одной точки (угол).
Условие: математическое понятие начинается с той же буквы, что и животное, например, лось (л) и т.д.
6. Сосчитайте сколько здесь животных. Перечислите их. Какие это животные?
Домашние: гусь, коза, корова, лошадь, свинья, петух, курица (7).
На плакате контурами изображены 8–10 животных (желательно разноцветными красками).
VII. Задание всей команде “Все о бобрах”.
В нашей стране водится много бобров. Бобр – крупный грызун, ведет полуводный образ жизни, обитает по лесным рекам, сооружает из ветвей и ила домики, поперек реки делает плотины длиной 5–6 м.
Задание 1.
Узнайте длину тела бобра (в дециметрах). Поможет вам удивительный квадрат:
|
5,9 |
6,3 |
3,6 |
|
2.3 |
2,7 |
0 |
|
3,7 |
4,1 |
1,4 |
А) из первой строки выберите наименьшее число (3, 6)
Б) из второй стоки наибольшее число (2, 7)
В) из третьей число, которое не является наименьшим и не является наибольшим (3, 7)
Г) найдите сумму выбранных чисел: 3,6 + 2,7 + 3,7 = 10,0 (дц ) или (1 метр)
Задание 2.
Узнайте массу бобра (в кг)
|
|
| |
|
|
|
|
(25 кг)
Как называются фигуры, которые использовались в задании?
(Круг, четырехугольник, шестиугольник, прямоугольник, треугольник).
Задание 3.
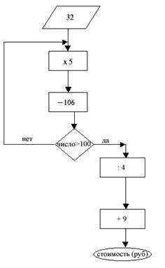
Узнать сколько стоят 100 граммов жира бобра (в рублях) поможет вам схема:
Задание 4
а) В строки таблицы впишите название чисел: 900, 600, 1000, 500. В одном из столбцов прочтите название числа, показывающего сколько минут бобр может находиться под водой.
(Пять минут).
б ) Расскажите , что вы узнали о бобрах.
в) Скороговорка: “по бревну бредут бобры”.
VIII. Конкурс художников.
Соедините точки по порядку и назовите получившееся животное (см. Приложение №3).
(Верблюд)
IX. Заключительный конкурс капитанов.
1. Отгадать название животного:
Правда, дети, я хорош, на большой мешок похож. По морям в былые годы обгонял я пароходы. (Дельфин)
2. Отгадать шараду:
Я по России протекаю, я всем известна, но когда ко мне прибавит букву с краю, свое значенье я теряю и птицей становлюсь тогда. (Иволга)
X. Домашнее задание.
1. Инсценирование сказки , в которой есть и математические понятия, и животные.
2. Считалочки, в которых упоминаются животные.
XI. Подведение итогов.
Награждение.
· За победу – медаль со львом (лев – царь зверей, математика – царица всех наук).
· За участие – медаль с лисой (в будущем будем хитрее).
Игры, конкурсы, фокусы с болельщиками.

;
;